Open Access
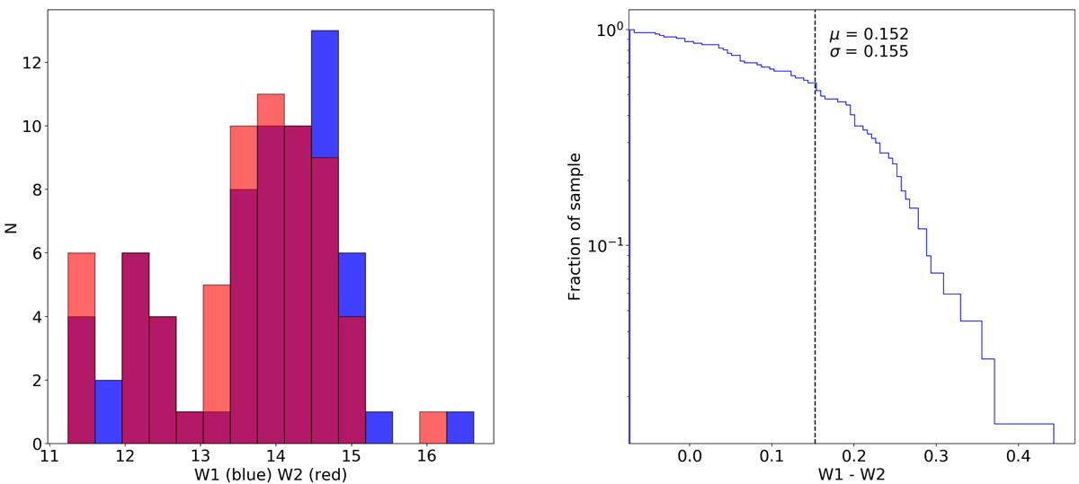
Fig. 5.

Download original image
WISE colors of the sample. Left panel: histogram showing the magnitude distribution of WISE colors W1 (blue) and W2 (red) in Vega magnitudes. Right panel: Distribution for W1 − W2.
Current usage metrics show cumulative count of Article Views (full-text article views including HTML views, PDF and ePub downloads, according to the available data) and Abstracts Views on Vision4Press platform.
Data correspond to usage on the plateform after 2015. The current usage metrics is available 48-96 hours after online publication and is updated daily on week days.
Initial download of the metrics may take a while.