Open Access
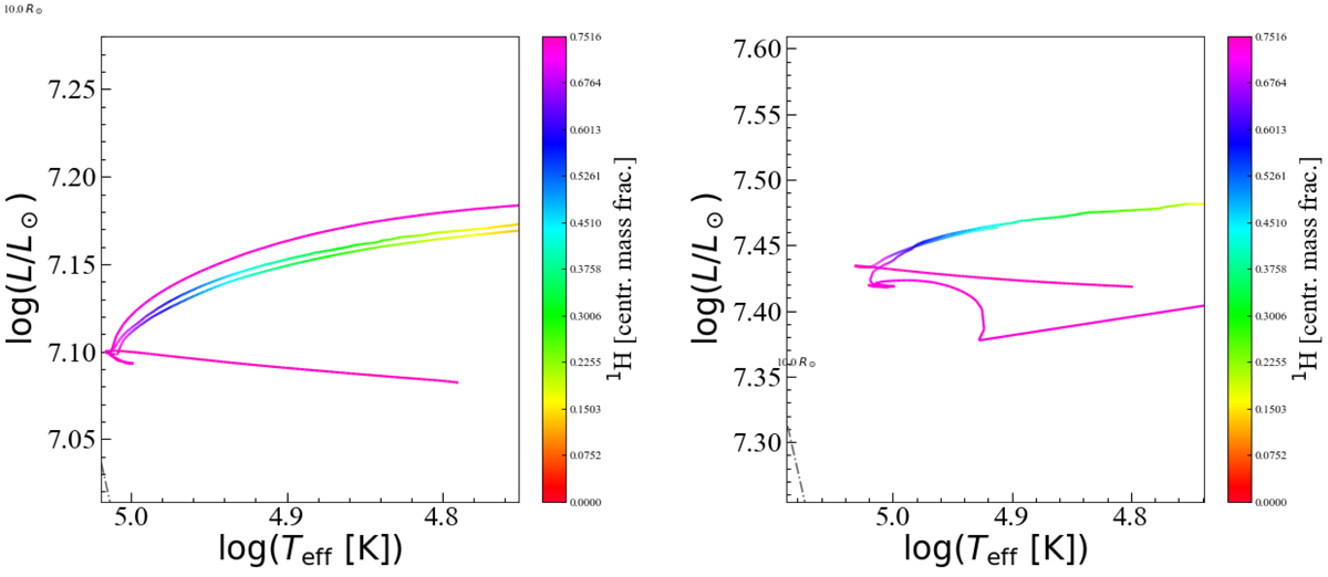
Fig. E.1.

Download original image
Comparison between accreting and non-accreting models at ZAMS. Left panel: A polytrope model with 491 M⊙ burns hydrogen at the same place in HRD when compared to a 491 M⊙ model with accretion history. Right panel: Same as left panel but for 932 M⊙ .
Current usage metrics show cumulative count of Article Views (full-text article views including HTML views, PDF and ePub downloads, according to the available data) and Abstracts Views on Vision4Press platform.
Data correspond to usage on the plateform after 2015. The current usage metrics is available 48-96 hours after online publication and is updated daily on week days.
Initial download of the metrics may take a while.