Fig. 2.

Download original image
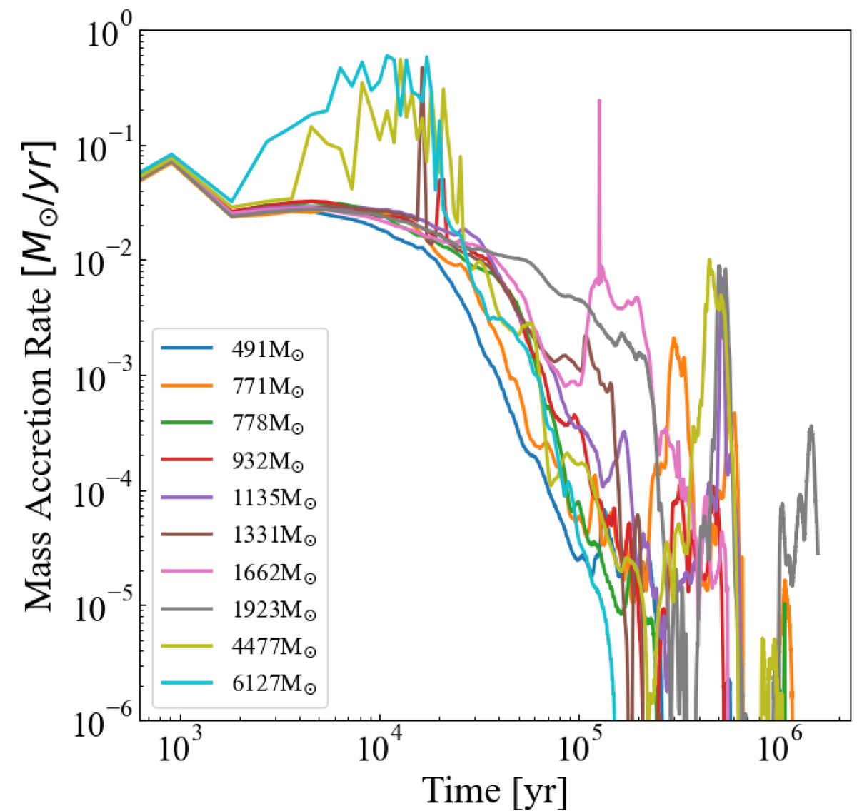
Accretion rate history of the ten massive PopIII models used in this work. The data for each star are taken from Regan et al. (2020a). The initial accretion rate is similar for each model; however, as the dynamical interaction between the stars and surrounding gas becomes dominant, the stars begin to migrate outwards and away from matter-rich zones and consequently the accretion rate decreases.
Current usage metrics show cumulative count of Article Views (full-text article views including HTML views, PDF and ePub downloads, according to the available data) and Abstracts Views on Vision4Press platform.
Data correspond to usage on the plateform after 2015. The current usage metrics is available 48-96 hours after online publication and is updated daily on week days.
Initial download of the metrics may take a while.