Fig. 4.

Download original image
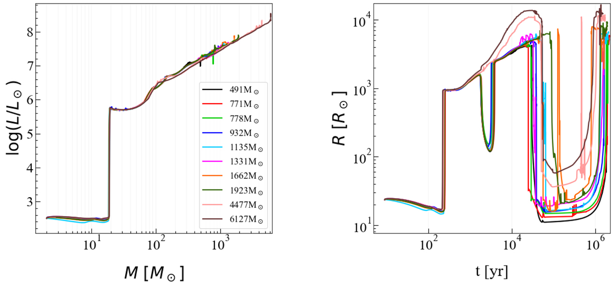
Variation of various physical parameters of accreting PopIII models. Left panel: luminosity–mass relation depicted for all models. The increase in luminosity at 20 M⊙ for all models corresponds to the luminosity wave breaking at the surface. Beyond this, luminosity evolves monotonically vs. mass as L ∝ M until the end of accretion history. Right panel: evolution of radius vs. age (in years) for all models. The colours used to represent models correspond to the label shown in the left panel.
Current usage metrics show cumulative count of Article Views (full-text article views including HTML views, PDF and ePub downloads, according to the available data) and Abstracts Views on Vision4Press platform.
Data correspond to usage on the plateform after 2015. The current usage metrics is available 48-96 hours after online publication and is updated daily on week days.
Initial download of the metrics may take a while.