Open Access
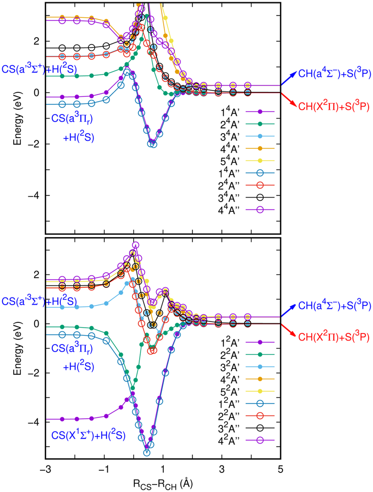
Fig. 1

Download original image
CASSCF energies along the reaction coordinate defined as the RCS-RCH distance difference. The energies shown here are obtained for an angle γSCH = 179.9° for the doublet (bottom panel) and quartet (top panel) states for the CH + S → CS + H reaction. Here, we consider five A′ and four A″ electronic states.
Current usage metrics show cumulative count of Article Views (full-text article views including HTML views, PDF and ePub downloads, according to the available data) and Abstracts Views on Vision4Press platform.
Data correspond to usage on the plateform after 2015. The current usage metrics is available 48-96 hours after online publication and is updated daily on week days.
Initial download of the metrics may take a while.