Fig. 8.

Download original image
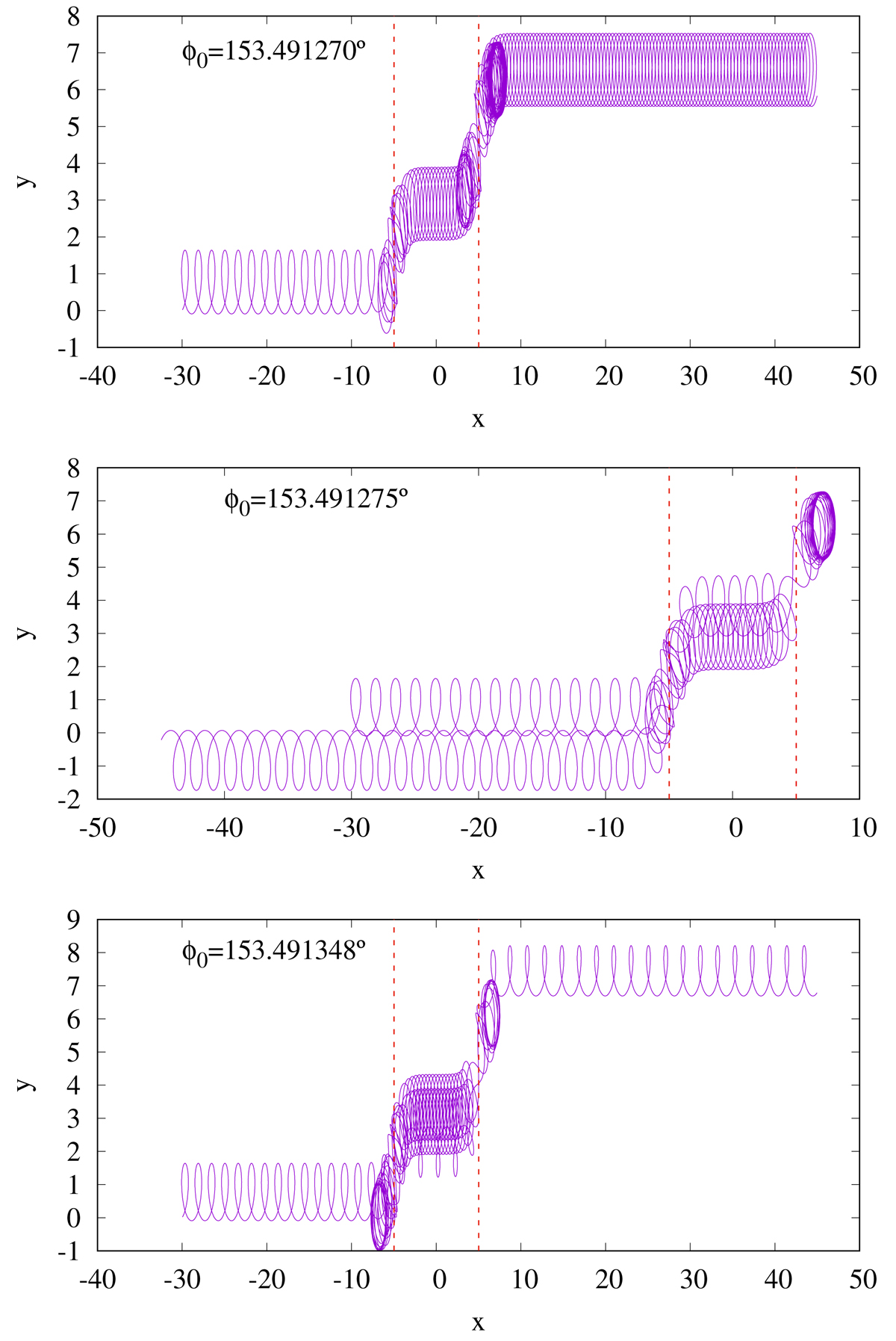
Trajectories of three particles (particle A: top panel; particle B: middle panel; particle C: bottom panel) projected onto the xy plane. Each particle starts with a slightly different initial gyrophase ϕ0, the value of which is indicated in each panel, while the initial pitch-angle cosine is the same for the three particles (μ0 = 0.5). The values of the parameters β, α, and ℰ are the same as in Fig. 7. The positions of the two RDs are indicated by red dashed lines.
Current usage metrics show cumulative count of Article Views (full-text article views including HTML views, PDF and ePub downloads, according to the available data) and Abstracts Views on Vision4Press platform.
Data correspond to usage on the plateform after 2015. The current usage metrics is available 48-96 hours after online publication and is updated daily on week days.
Initial download of the metrics may take a while.