Fig. 1

Download original image
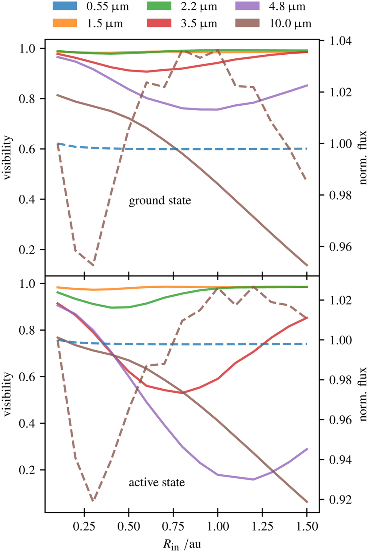
Visibilities for ground state (top) and active state (bottom) models as a function of the inner disk radius for the H, K, L, M, and N bands (solid; left axis). The corresponding fluxes in the photometric V and N bands are also shown (dashed; right axis). The V- and N-band fluxes are normalized with respect to the reference model with Rin = 0.1 au (see Sect. 3.1 for details).
Current usage metrics show cumulative count of Article Views (full-text article views including HTML views, PDF and ePub downloads, according to the available data) and Abstracts Views on Vision4Press platform.
Data correspond to usage on the plateform after 2015. The current usage metrics is available 48-96 hours after online publication and is updated daily on week days.
Initial download of the metrics may take a while.