Fig. 5

Download original image
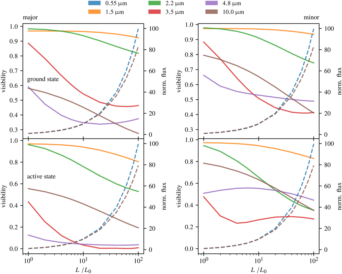
Visibilities for ground state (top) and active state (bottom) models with an inclination of 45° as a function of stellar luminosity for the H, K, L, M, and N bands (solid; left axis) for baseline orientations along the major (left) and minor axis (right) of the disk image. The corresponding fluxes in the photometric V and N bands are also shown (dashed; right axis). The V- and N-band fluxes are normalized with respect to the reference model with L = L0. The inner radius of the disk is set to Rin = 1 au for all models (see Sect. 3.2 for details).
Current usage metrics show cumulative count of Article Views (full-text article views including HTML views, PDF and ePub downloads, according to the available data) and Abstracts Views on Vision4Press platform.
Data correspond to usage on the plateform after 2015. The current usage metrics is available 48-96 hours after online publication and is updated daily on week days.
Initial download of the metrics may take a while.