Fig. 7

Download original image
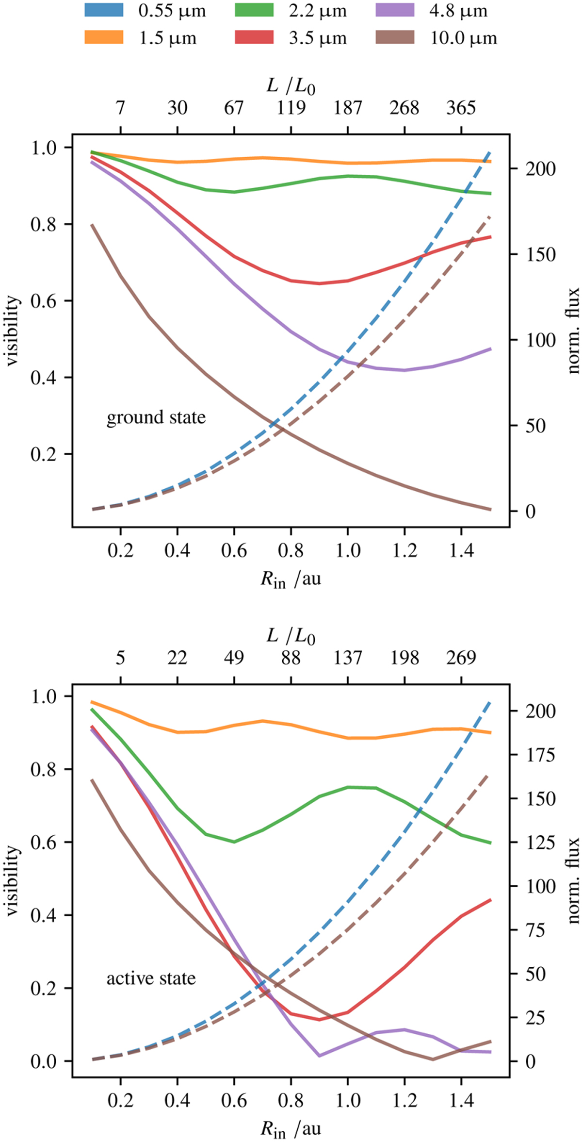
Visibilities for ground state (top) and the active state (bottom) models as a function of stellar luminosity, and the corresponding sublimation radius for the H, K, L, M, and N bands (solid; left axis). The corresponding fluxes in the photometric V and N bands are also shown (dashed; right axis). The V- and N-band fluxes are normalized with respect to the reference model with L = L0. The stellar luminosity of each model is increased such that the sublimation radius matches the given Rin (see Sect. 3.3 for details).
Current usage metrics show cumulative count of Article Views (full-text article views including HTML views, PDF and ePub downloads, according to the available data) and Abstracts Views on Vision4Press platform.
Data correspond to usage on the plateform after 2015. The current usage metrics is available 48-96 hours after online publication and is updated daily on week days.
Initial download of the metrics may take a while.