Open Access
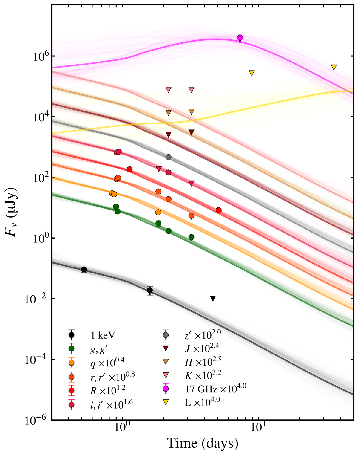
Fig. 11.

Download original image
All afterglow flux measurements presented in Table 1 along with 100 random models drawn from our MCMC exploration of the parameter space. The bold lines represent the model associated with the median values from the marginalised posterior distributions in Fig. 10. Upper limits are shown as upside-down triangles.
Current usage metrics show cumulative count of Article Views (full-text article views including HTML views, PDF and ePub downloads, according to the available data) and Abstracts Views on Vision4Press platform.
Data correspond to usage on the plateform after 2015. The current usage metrics is available 48-96 hours after online publication and is updated daily on week days.
Initial download of the metrics may take a while.