Open Access
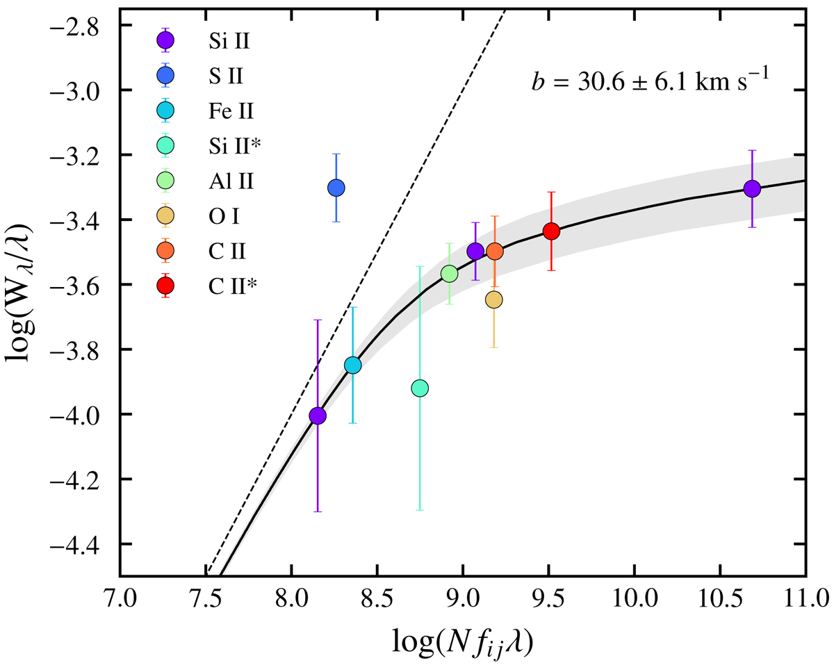
Fig. 8.

Download original image
Results obtained with the CoG analysis on the ISM (z = 3.084) absorption lines identified in the spectrum of GRB 220627A. The dashed line represents the linear approximation regime (Wλ ∝ N) of the CoG.
Current usage metrics show cumulative count of Article Views (full-text article views including HTML views, PDF and ePub downloads, according to the available data) and Abstracts Views on Vision4Press platform.
Data correspond to usage on the plateform after 2015. The current usage metrics is available 48-96 hours after online publication and is updated daily on week days.
Initial download of the metrics may take a while.