Fig. 6

Download original image
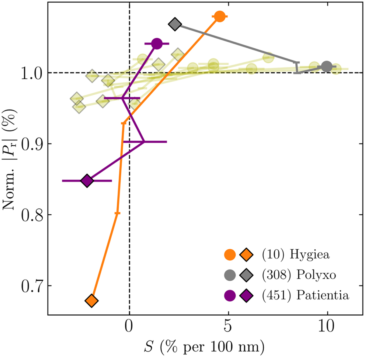
Correlation between the spectra of the normalized absolute polarization degree |Pr(λ)| and a spectral slope S of reflectance spectra for the C-complex asteroids in Fig. 3. Both parameters were normalized at 550 nm and measured in each spectral bin. Circles and diamonds of each curve indicate the values derived in the shortest (450–550 nm) and longest (750–900 nm) bins, respectively. Including those endpoints, a single line connecting a total of four points represent |Pr| and S values of an asteroid evaluated over 450–550 nm, 550–650 nm, 650–750 nm, and 750–900 nm. Only three asteroids – (10) Hygiea, (308) Polyxo, and (451) Patientia – are highlighted due to their significance while the rest with variations less than ±5% of the unity (normalized |Pr(λ)| at 550 nm) are not specified.
Current usage metrics show cumulative count of Article Views (full-text article views including HTML views, PDF and ePub downloads, according to the available data) and Abstracts Views on Vision4Press platform.
Data correspond to usage on the plateform after 2015. The current usage metrics is available 48-96 hours after online publication and is updated daily on week days.
Initial download of the metrics may take a while.