Open Access
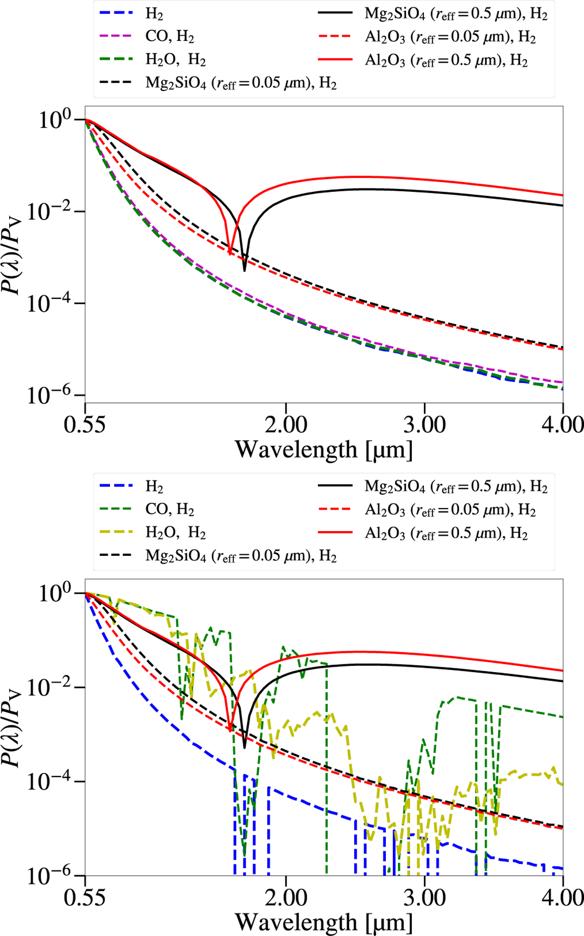
Fig. 5

Download original image
Planetary polarization as a function of wavelength relative to the polarization at a wavelength of 550 nm for compositions of the planetary atmosphere (H2, CO, H2O, Mg2SiO4 and A12O3 clouds). Bottom and top: with and without the atmospheric specific absorption coefficients. See Sect. 3.1.3 for details.
Current usage metrics show cumulative count of Article Views (full-text article views including HTML views, PDF and ePub downloads, according to the available data) and Abstracts Views on Vision4Press platform.
Data correspond to usage on the plateform after 2015. The current usage metrics is available 48-96 hours after online publication and is updated daily on week days.
Initial download of the metrics may take a while.