Fig. A.1

Download original image
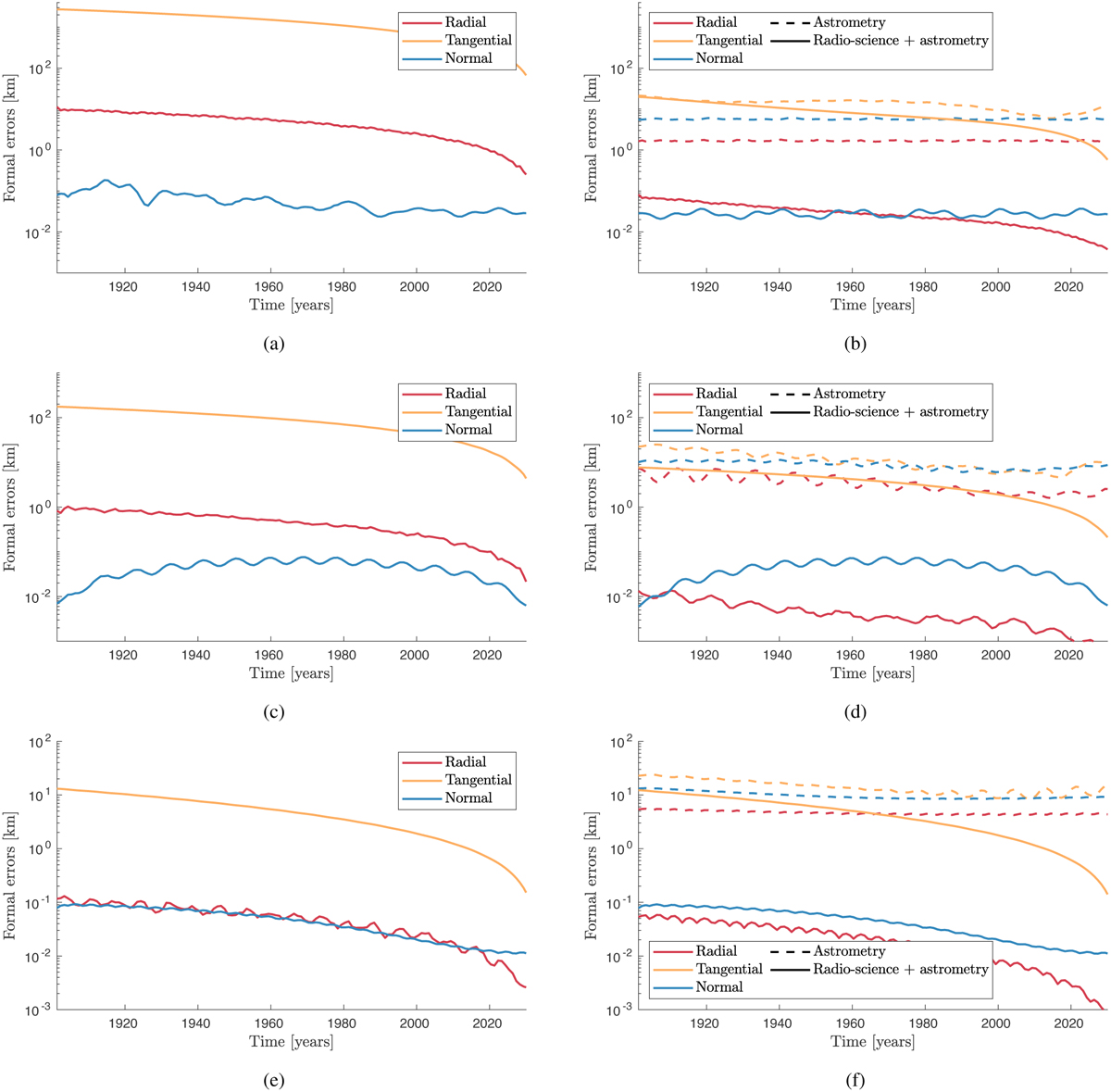
Propagated formal uncertainties in the moons’ RTN positions (from 2030 to 1890) for the radio science, astrometry and combined solutions (obtained with Tudat and NOE). We used a propagation output of one point per year only and performed data smoothing over five-year windows to avoid aliasing effects (see Fig. 5). The top panels present the results obtained for Io (panels a & b), the middle panels correspond to Ganymede (panels c & d), and the bottom ones to Callisto (panels e & f). The left hand side panels (a, c, e) always display the radio science only solutions, while the right hand side panels (b, d, f) show both the astrometry-only and combined solutions.
Current usage metrics show cumulative count of Article Views (full-text article views including HTML views, PDF and ePub downloads, according to the available data) and Abstracts Views on Vision4Press platform.
Data correspond to usage on the plateform after 2015. The current usage metrics is available 48-96 hours after online publication and is updated daily on week days.
Initial download of the metrics may take a while.