Open Access
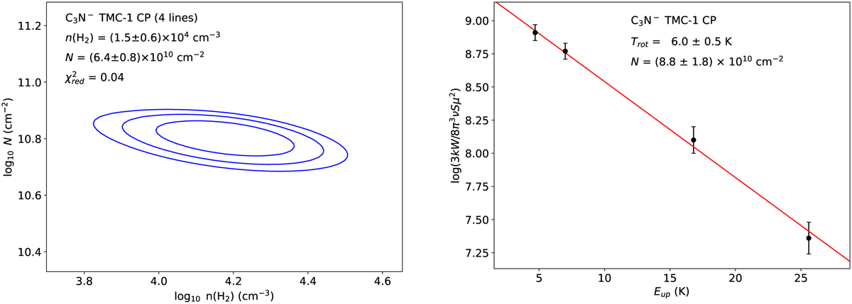
Fig. 7

Download original image
Excitation and abundance analysis for C3N− in TMC-1 CP. Left panel shows χ2 as a function of the H2 volume density and the column density of C3N−, where the contours correspond to 1, 2, and 3 σ levels. Right panel shows the rotation diagram.
Current usage metrics show cumulative count of Article Views (full-text article views including HTML views, PDF and ePub downloads, according to the available data) and Abstracts Views on Vision4Press platform.
Data correspond to usage on the plateform after 2015. The current usage metrics is available 48-96 hours after online publication and is updated daily on week days.
Initial download of the metrics may take a while.