Fig. 2.

Download original image
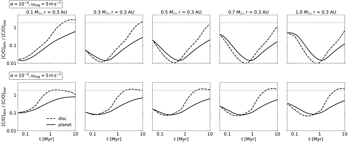
Temporal evolution of the atmospheric C/O ratio (solid lines) of a non-migrating planet located at r = 0.3 AU and the disc C/O ratio (dashed lines) at the same location as a function of stellar mass (left to right) and disc viscosity (top and bottom rows). Ratios are normalised to the stellar value, as in Fig. 1. Dotted lines indicate an absolute C/O = 1.
Current usage metrics show cumulative count of Article Views (full-text article views including HTML views, PDF and ePub downloads, according to the available data) and Abstracts Views on Vision4Press platform.
Data correspond to usage on the plateform after 2015. The current usage metrics is available 48-96 hours after online publication and is updated daily on week days.
Initial download of the metrics may take a while.