Open Access
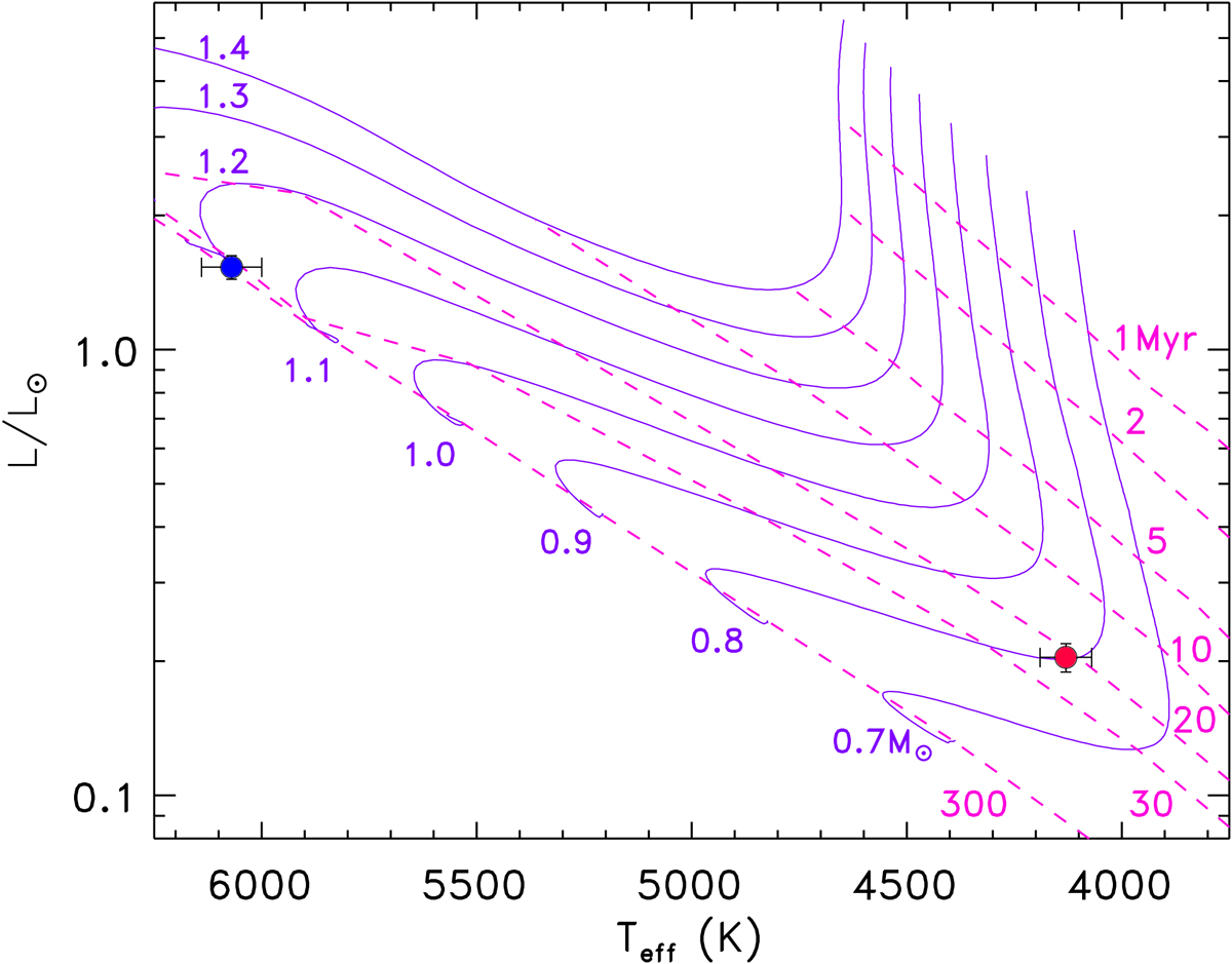
Fig. 9.

Download original image
Position of the primary (blue dot) and secondary (red dot) component of TIC 43152097 in the HR diagram. Isochrones and evolutionary tracks from Baraffe et al. (2015) are overlaid as dashed and solid lines; the labels give their age and mass.
Current usage metrics show cumulative count of Article Views (full-text article views including HTML views, PDF and ePub downloads, according to the available data) and Abstracts Views on Vision4Press platform.
Data correspond to usage on the plateform after 2015. The current usage metrics is available 48-96 hours after online publication and is updated daily on week days.
Initial download of the metrics may take a while.