Open Access
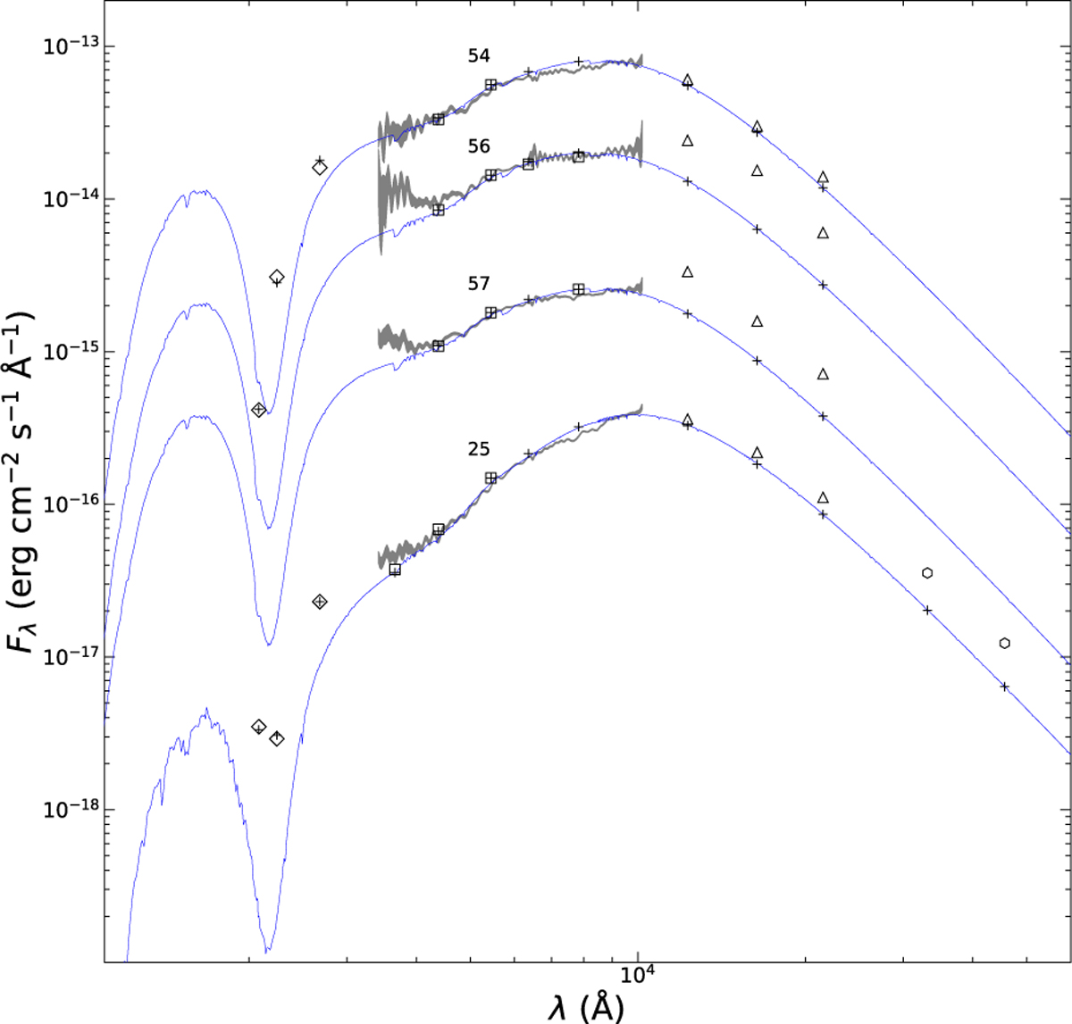
Fig. A.1

Download original image
Comparison of stellar model SEDs and photometry for a subset of the cluster members depicted in Fig. 11. Symbol assignment is analogous to Fig. 10. Johnson-Cousins Rc & Ic are shown as black squares. For better visibility, the SEDs were shifted by +1 dex for NGC 3603 54, –1 dex for NGC 3603 57, and –2.5 dex for Sher 25.
Current usage metrics show cumulative count of Article Views (full-text article views including HTML views, PDF and ePub downloads, according to the available data) and Abstracts Views on Vision4Press platform.
Data correspond to usage on the plateform after 2015. The current usage metrics is available 48-96 hours after online publication and is updated daily on week days.
Initial download of the metrics may take a while.