Fig. 7

Download original image
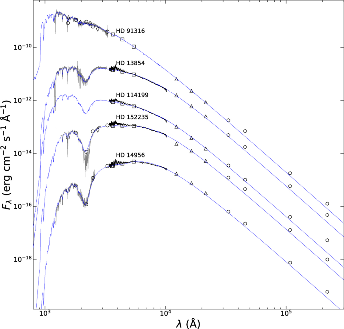
Spectral energy distributions of the sample stars. ATLAS9-SEDs, normalised in V and reddened according to values from Table 3 (blue lines) are compared to IUE and Gaia spectrophotometry (grey and black lines, respectively) and photometric data in various wavelength bands: ANS (circles), TD1 (diamonds), Johnson (squares), 2MASS (triangles), and ALLWISE data (hexagons). For better visibility, the SEDs and photometry for HD 152235 and HD 14956 were shifted by −2 and −3 dex, respectively.
Current usage metrics show cumulative count of Article Views (full-text article views including HTML views, PDF and ePub downloads, according to the available data) and Abstracts Views on Vision4Press platform.
Data correspond to usage on the plateform after 2015. The current usage metrics is available 48-96 hours after online publication and is updated daily on week days.
Initial download of the metrics may take a while.