Fig. 4.

Download original image
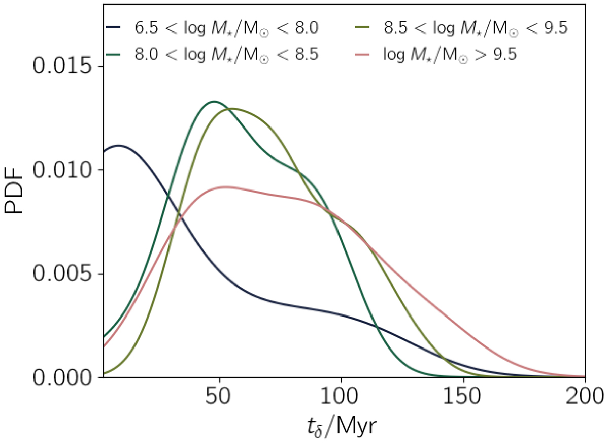
Distributions of characteristic timescales (tδ) of the periodicity of the flickering δ. Each line is a PDF that is computed by weighting for the peak significance (w) for a sub-sample of galaxies falling in a different mass by z = 7.7. For increasing mass bins, the sub-samples contain 35, 89, 100, and 11 galaxies (typically, about four peaks per galaxy are found). The PDF was computed via a kernel density estimator, adopting the rule of thumb of Silverman (1986) for the size of the bandwidth.
Current usage metrics show cumulative count of Article Views (full-text article views including HTML views, PDF and ePub downloads, according to the available data) and Abstracts Views on Vision4Press platform.
Data correspond to usage on the plateform after 2015. The current usage metrics is available 48-96 hours after online publication and is updated daily on week days.
Initial download of the metrics may take a while.