Fig. 6.

Download original image
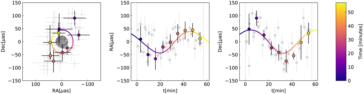
Combined fit of the astrometric flare data, taking into account the polarimetry constraints. Left: on-sky motion. The gray disk corresponds to the shadow size of a Schwarzschild black hole . Middle and right panels: individual coordinates as a function of time. The gray data points are the full data set and the colored points are bins of five minutes.
Current usage metrics show cumulative count of Article Views (full-text article views including HTML views, PDF and ePub downloads, according to the available data) and Abstracts Views on Vision4Press platform.
Data correspond to usage on the plateform after 2015. The current usage metrics is available 48-96 hours after online publication and is updated daily on week days.
Initial download of the metrics may take a while.