Open Access
Fig. B.2.

Download original image
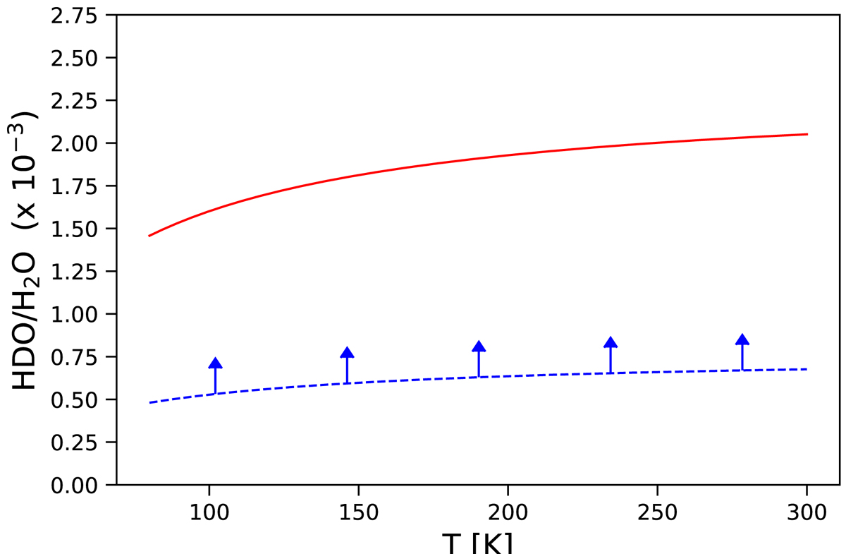
Evolution of HDO/H2O ratio as a function of excitation temperature assuming source sizes of 0.35″ and 0.45″ for the M and N positions, respectively. The solid red line represents the ratio found for N (component at 9 km s−1), while the blue dashed line is for M (6 km s−1). The arrows indicate lower limits.
Current usage metrics show cumulative count of Article Views (full-text article views including HTML views, PDF and ePub downloads, according to the available data) and Abstracts Views on Vision4Press platform.
Data correspond to usage on the plateform after 2015. The current usage metrics is available 48-96 hours after online publication and is updated daily on week days.
Initial download of the metrics may take a while.