Fig. F.1.

Download original image
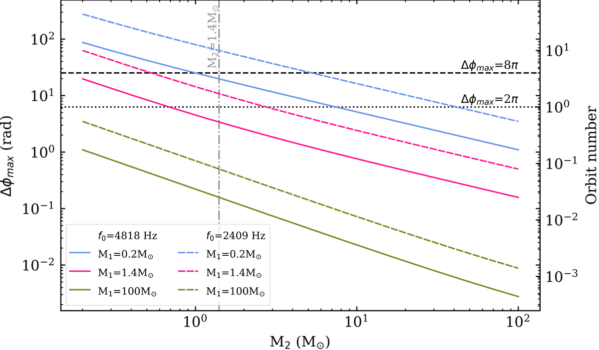
Maximal orbital phases a binary system can complete before a merger after reaching a GW frequency of 2435 Hz (solid lines) and 4818 Hz (dashed lines). The dashed and dotted black horizontal lines mark phases of 8π (four rotations) and 2π (one rotation), respectively, which are required to see five and three FRB subcomponents, respectively. The orbital phases were computed for binary systems with the mass of the first compact object being M1 = 0.2 M⊙ (blue), 1.4 M⊙ (pink) and 100 M⊙ (green), while the mass of the second object M2 ranges between 0.2 and 100 M⊙. The dot-dashed grey vertical line indicates M2 = 1.4 M⊙.
Current usage metrics show cumulative count of Article Views (full-text article views including HTML views, PDF and ePub downloads, according to the available data) and Abstracts Views on Vision4Press platform.
Data correspond to usage on the plateform after 2015. The current usage metrics is available 48-96 hours after online publication and is updated daily on week days.
Initial download of the metrics may take a while.