Fig. 9.

Download original image
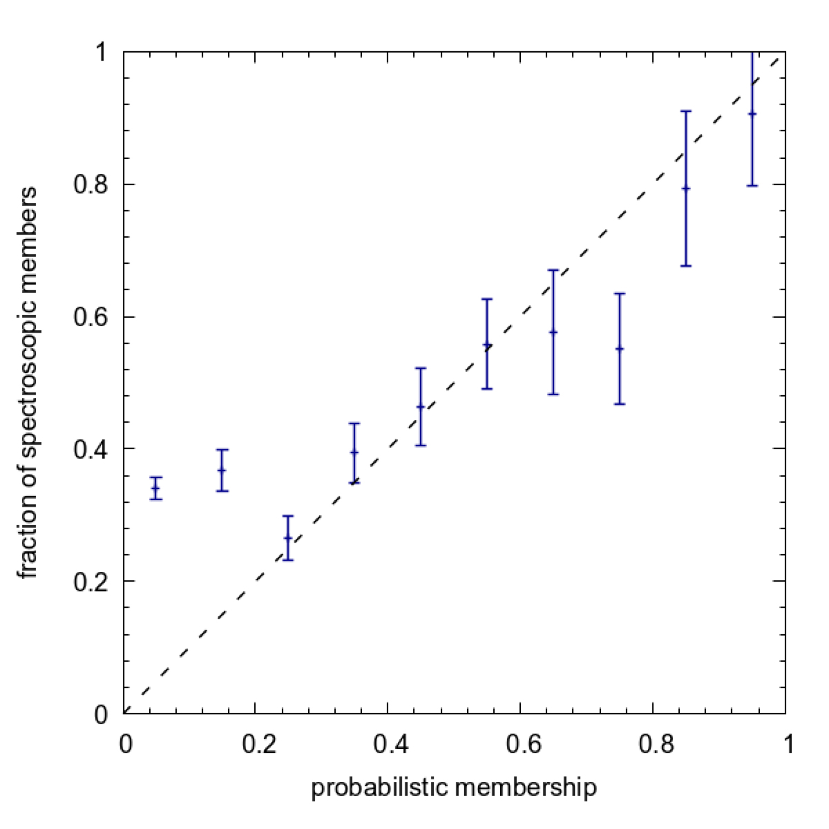
Probabilistic membership association of galaxies to clusters returned by AMICO compared with the fraction of spectroscopic cluster members identified with the ‘shifting gapper’ technique applied to the DEEP3 data. The photometric probabilistic membership is in good agreement with the spectroscopic membership, except for probabilities smaller than P < 0.2.
Current usage metrics show cumulative count of Article Views (full-text article views including HTML views, PDF and ePub downloads, according to the available data) and Abstracts Views on Vision4Press platform.
Data correspond to usage on the plateform after 2015. The current usage metrics is available 48-96 hours after online publication and is updated daily on week days.
Initial download of the metrics may take a while.