Fig. 7.

Download original image
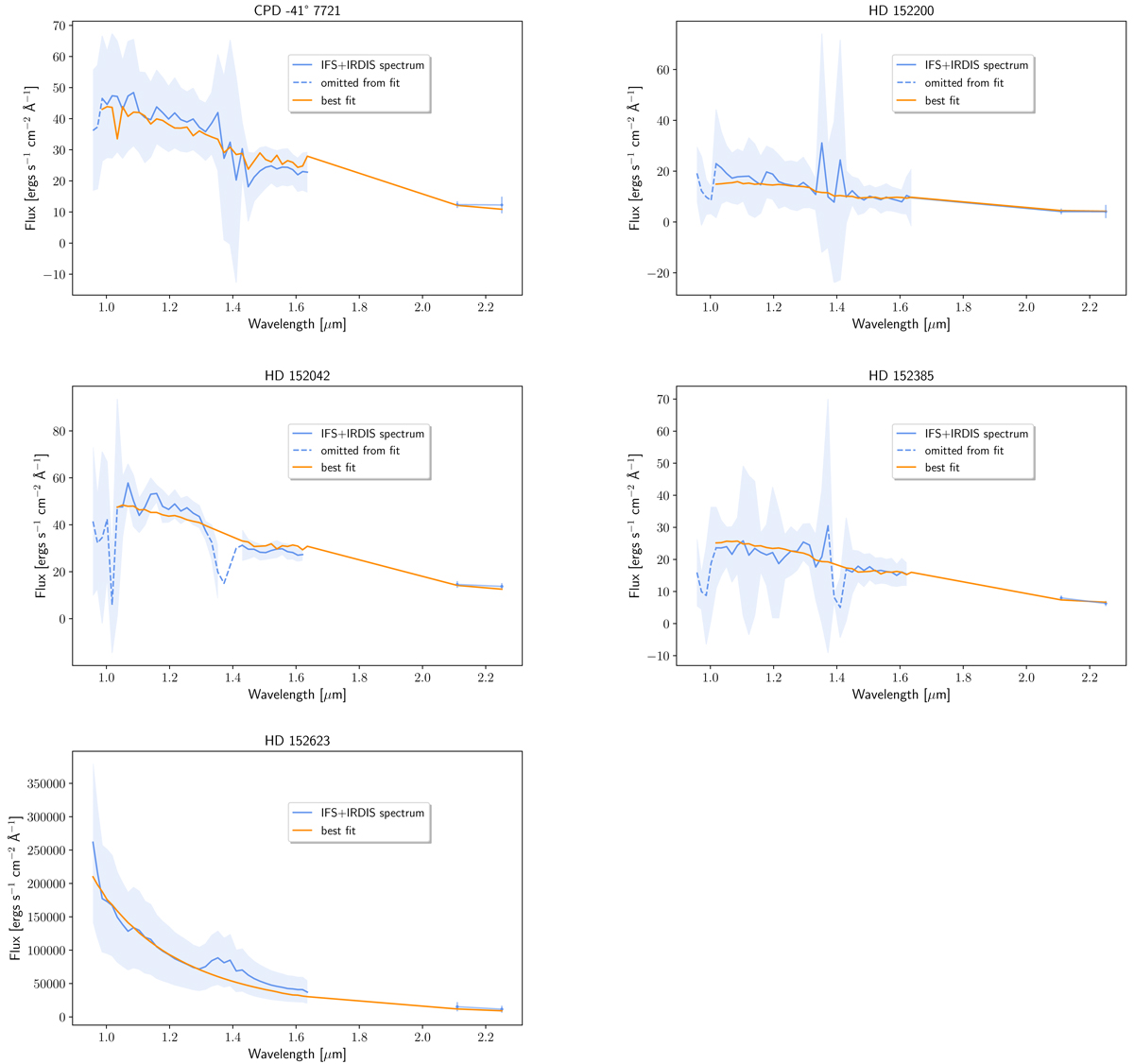
IFS and IRDIS spectra for IFS companions of CPD −41°7721, HD 152 200, HD 152 042, HD 152 385, and HD 152 623 (blue). The best fit is given in orange. Dashed lines are used for wavelengths that we omitted from the fit, which are likely due to absorption in Earth’s atmosphere. The uncertainty plotted in light blue is the 3σ uncertainty.
Current usage metrics show cumulative count of Article Views (full-text article views including HTML views, PDF and ePub downloads, according to the available data) and Abstracts Views on Vision4Press platform.
Data correspond to usage on the plateform after 2015. The current usage metrics is available 48-96 hours after online publication and is updated daily on week days.
Initial download of the metrics may take a while.