Fig. 2

Download original image
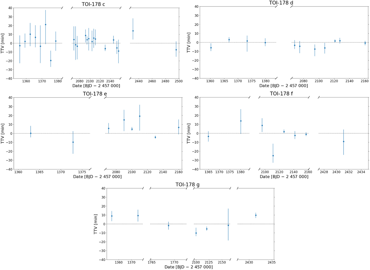
TTVs (in minutes) deduced from our global transit analysis (see Sect. 4.1) for the five outer TOI-178 planets. These TTVs are relative to the updated mean transit ephemerides given in Tables 3 (planets b, c, and d) and 4 (planets e, f, and g). For each planet, we zoomed in around the epochs of the observed transits in the x-axes for a better visual assessment of the measured TTVs.
Current usage metrics show cumulative count of Article Views (full-text article views including HTML views, PDF and ePub downloads, according to the available data) and Abstracts Views on Vision4Press platform.
Data correspond to usage on the plateform after 2015. The current usage metrics is available 48-96 hours after online publication and is updated daily on week days.
Initial download of the metrics may take a while.