Open Access
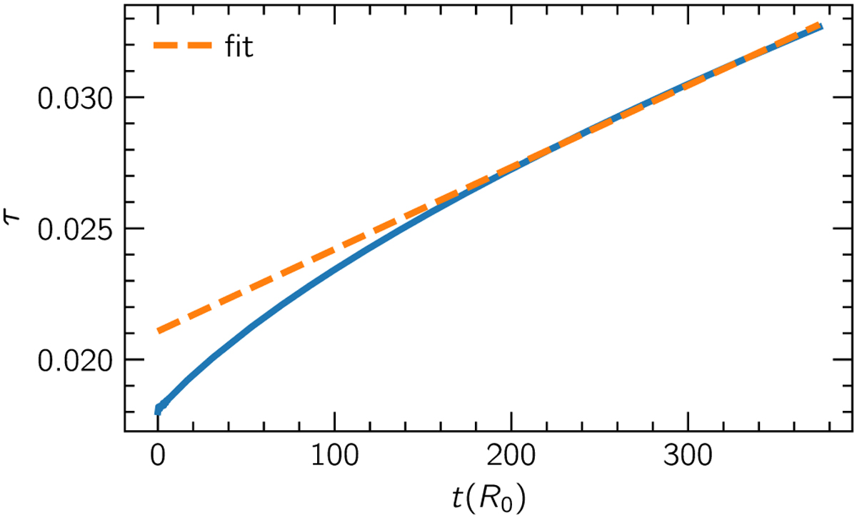
Fig. D.1

Download original image
The τ(t) curve for our inviscid 1024 model. The dashed line shows the fit over the last 180 time units. The slope of this line is used to extract the numerical viscosity.
Current usage metrics show cumulative count of Article Views (full-text article views including HTML views, PDF and ePub downloads, according to the available data) and Abstracts Views on Vision4Press platform.
Data correspond to usage on the plateform after 2015. The current usage metrics is available 48-96 hours after online publication and is updated daily on week days.
Initial download of the metrics may take a while.