Fig. 5

Download original image
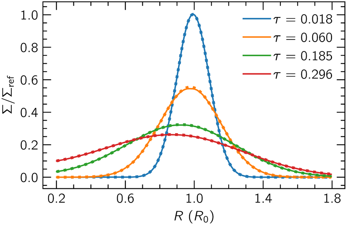
Snapshots of slices through the y = 0 plane showing the evolution of surface density for our fiducial viscous Cartesian simulation. The colors indicate different time stamps, solid lines represent simulation results, and dots follow the analytical solution at the corresponding time according to Eq. (2). Unlike the 2D polar case, no spirals develop.
Current usage metrics show cumulative count of Article Views (full-text article views including HTML views, PDF and ePub downloads, according to the available data) and Abstracts Views on Vision4Press platform.
Data correspond to usage on the plateform after 2015. The current usage metrics is available 48-96 hours after online publication and is updated daily on week days.
Initial download of the metrics may take a while.