Fig. 5

Download original image
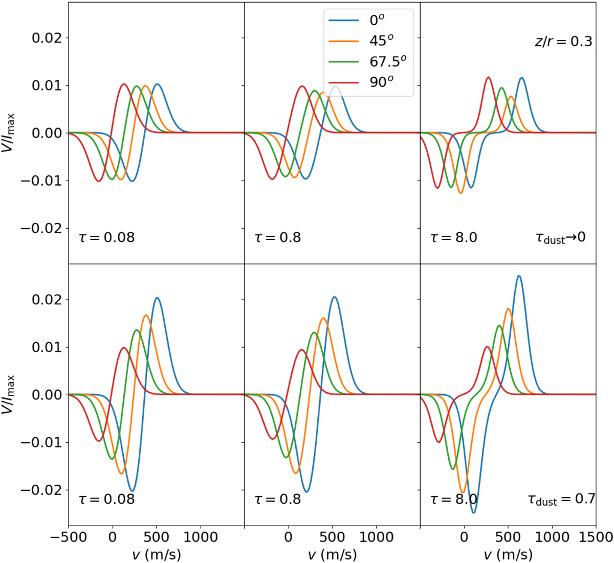
Spectra of circularly polarized intensity of CN (N, J, F) → (N′, J′, F′) = (1,1 /2,1 /2) → (0,1 /2,1/2) transition excited in a TW Hya-like protoplanetary disk, in an emission surface around z/r = 0.3, with (lower row) and without (upper row) a layer of dust present between the emission surfaces. The spectra for different optical depths and position angles are given.
Current usage metrics show cumulative count of Article Views (full-text article views including HTML views, PDF and ePub downloads, according to the available data) and Abstracts Views on Vision4Press platform.
Data correspond to usage on the plateform after 2015. The current usage metrics is available 48-96 hours after online publication and is updated daily on week days.
Initial download of the metrics may take a while.