Fig. 4.

Download original image
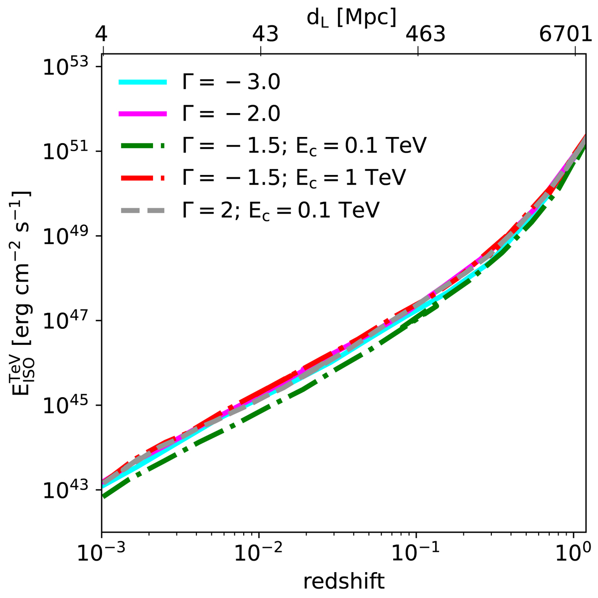
Lower limit on isotropic energy (EISO) in the range 0.2–1 TeV as a function of redshift for CTA-N (α-configuration including four LSTs and nine MSTs). A short constant VHE emission of 10 s is considered, and a threshold is used on the significance (σ) of 5σ and on excess gamma-ray events (Nex) larger than 10 to define a detection. A conservative energy threshold of E > 200 GeV (hence a slightly higher limit on ) is preferred as the observation conditions, such as weather, presence of the moon, and zenith angle dependence, impact the energy threshold. The observed spectra depending on
, Γ, Ec, and redshift are shown in Fig. 3.
Current usage metrics show cumulative count of Article Views (full-text article views including HTML views, PDF and ePub downloads, according to the available data) and Abstracts Views on Vision4Press platform.
Data correspond to usage on the plateform after 2015. The current usage metrics is available 48-96 hours after online publication and is updated daily on week days.
Initial download of the metrics may take a while.