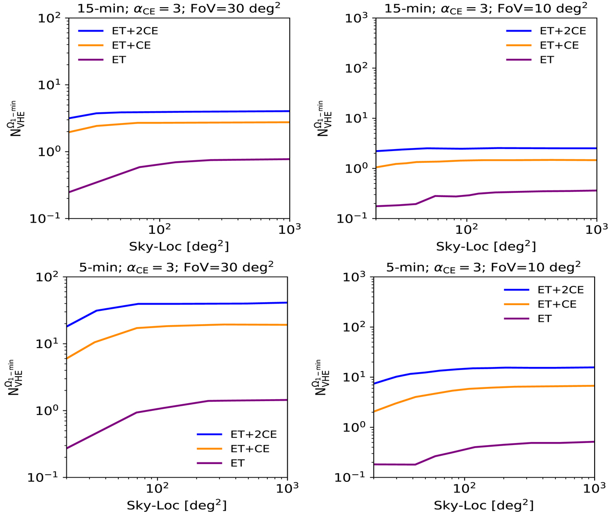
Fig. 9.

Download original image
Same as Figs. 7 and 8 following up 15 and 5 min pre-merger alerts, but using the updated sky-localization obtained 1 min before the merger. For this scenario, only events detected 15 min or 5 min before the merger with sky-localization less than 1000 deg2 are considered. The expected number of VHE possible detections includes the CTA visibility because LST and MST antennas are not able to observe below the elevation angle of 30° (zenith higher than 60°). The plots in the right column show the LST array and the plots in the left column the MST array.
Current usage metrics show cumulative count of Article Views (full-text article views including HTML views, PDF and ePub downloads, according to the available data) and Abstracts Views on Vision4Press platform.
Data correspond to usage on the plateform after 2015. The current usage metrics is available 48-96 hours after online publication and is updated daily on week days.
Initial download of the metrics may take a while.