Fig. 3.

Download original image
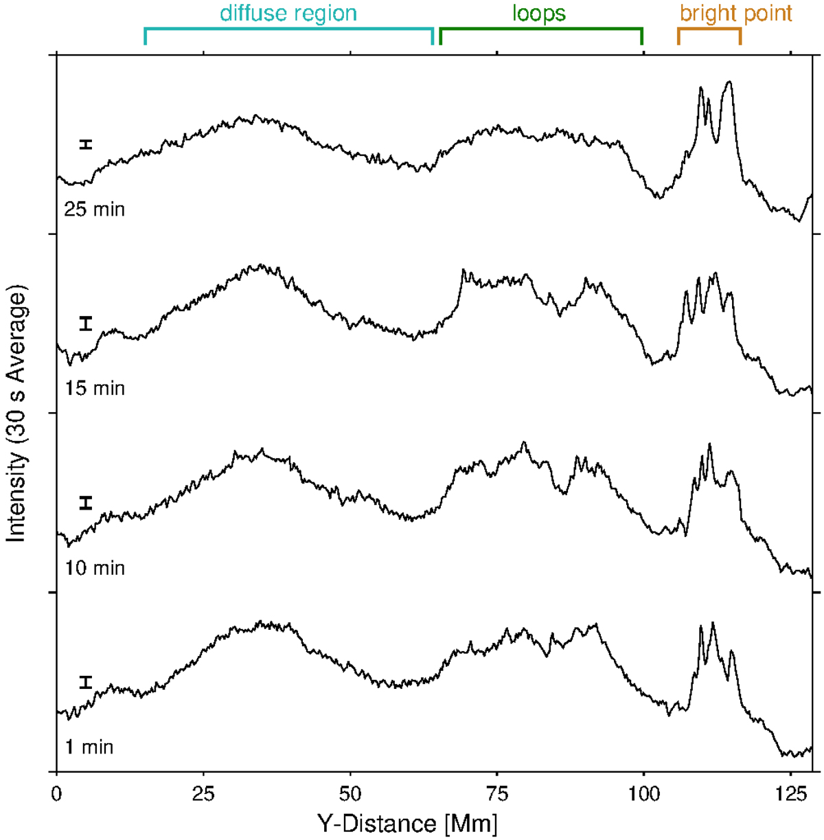
Spatial variability along a cut through a diffuse region, loop-like features, and a coronal bright point at four different times. This intensity–distance plot shows the intensity along the cut outlined by the black vertical line in Fig. 1b for several intervals of time during the observation. For each 30 s interval (15 time-consecutive images), the intensity at each pixel along the cut is averaged over that time period and plotted as a function of distance. Four of these light curves are shown as a stack: the bottom curve is the intensity–distance 30 s average (starting at 30 s) ending at 1 min, the curve directly above it is the 30 s average ending at 10 min, and so on. The black vertical bars with each curve show the maximum error for that curve (see Appendix A). Above the panel the location in the y direction of the three types of regions are labeled (see Sects. 3.2 and 4.1).
Current usage metrics show cumulative count of Article Views (full-text article views including HTML views, PDF and ePub downloads, according to the available data) and Abstracts Views on Vision4Press platform.
Data correspond to usage on the plateform after 2015. The current usage metrics is available 48-96 hours after online publication and is updated daily on week days.
Initial download of the metrics may take a while.