Fig. 7.

Download original image
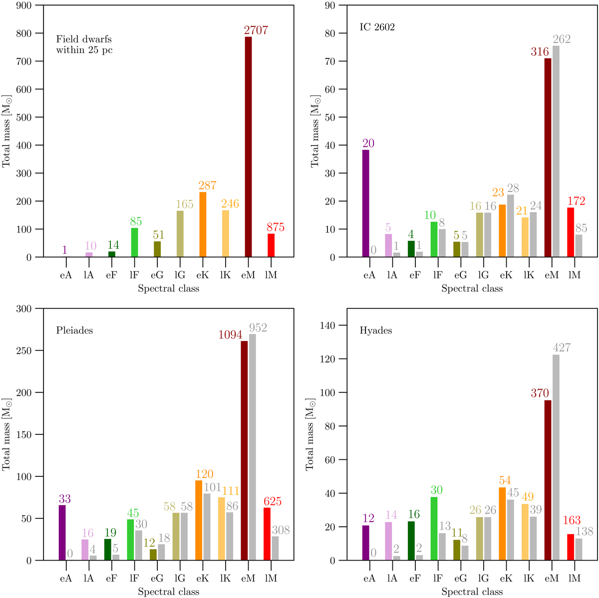
Spectral type and total mass distribution of the field dwarfs within 25 pc and three benchmark clusters, IC 2602, the Pleiades, and the Hyades. Spectral types G, K, and M are split into early and late subtypes. The field population was used to compute the expected number of stars for each cluster with respect to the number of late-G dwarfs (grey bars).
Current usage metrics show cumulative count of Article Views (full-text article views including HTML views, PDF and ePub downloads, according to the available data) and Abstracts Views on Vision4Press platform.
Data correspond to usage on the plateform after 2015. The current usage metrics is available 48-96 hours after online publication and is updated daily on week days.
Initial download of the metrics may take a while.