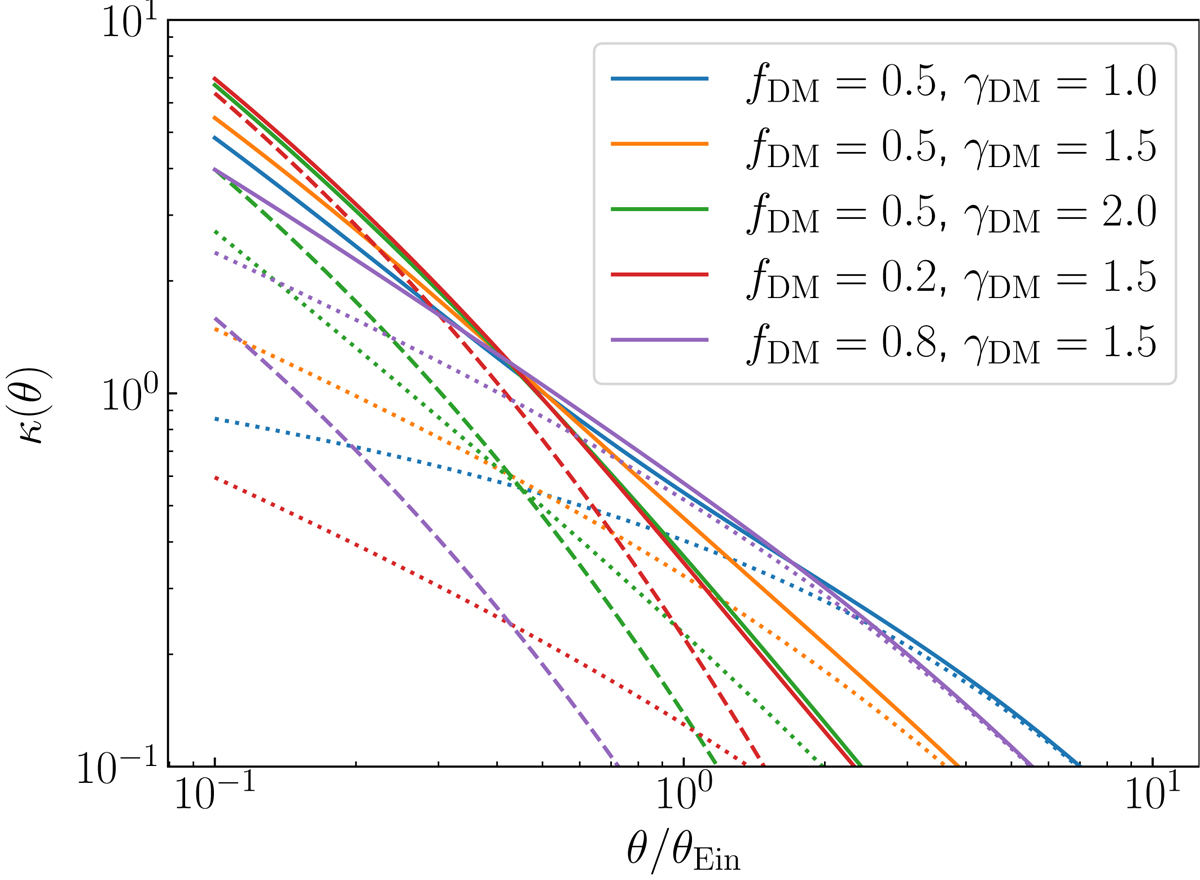
Fig. 4.

Download original image
Dimensionless surface mass density profile of Sérsic + gNFW composite models. The Sérsic index of the baryonic component is fixed to n = 4, and the scale radius of the dark matter component is fixed to ten times the half-light radius. All of the profiles are normalised in such a way that the Einstein radius is equal to the half-light radius. Solid lines show the total density profile, dotted lines the dark matter density profile, and dashed lines the baryonic density profile. The dashed blue, orange, and green lines are identical, as they correspond to profiles with the same fraction of baryonic mass within the half-light radius.
Current usage metrics show cumulative count of Article Views (full-text article views including HTML views, PDF and ePub downloads, according to the available data) and Abstracts Views on Vision4Press platform.
Data correspond to usage on the plateform after 2015. The current usage metrics is available 48-96 hours after online publication and is updated daily on week days.
Initial download of the metrics may take a while.