Open Access
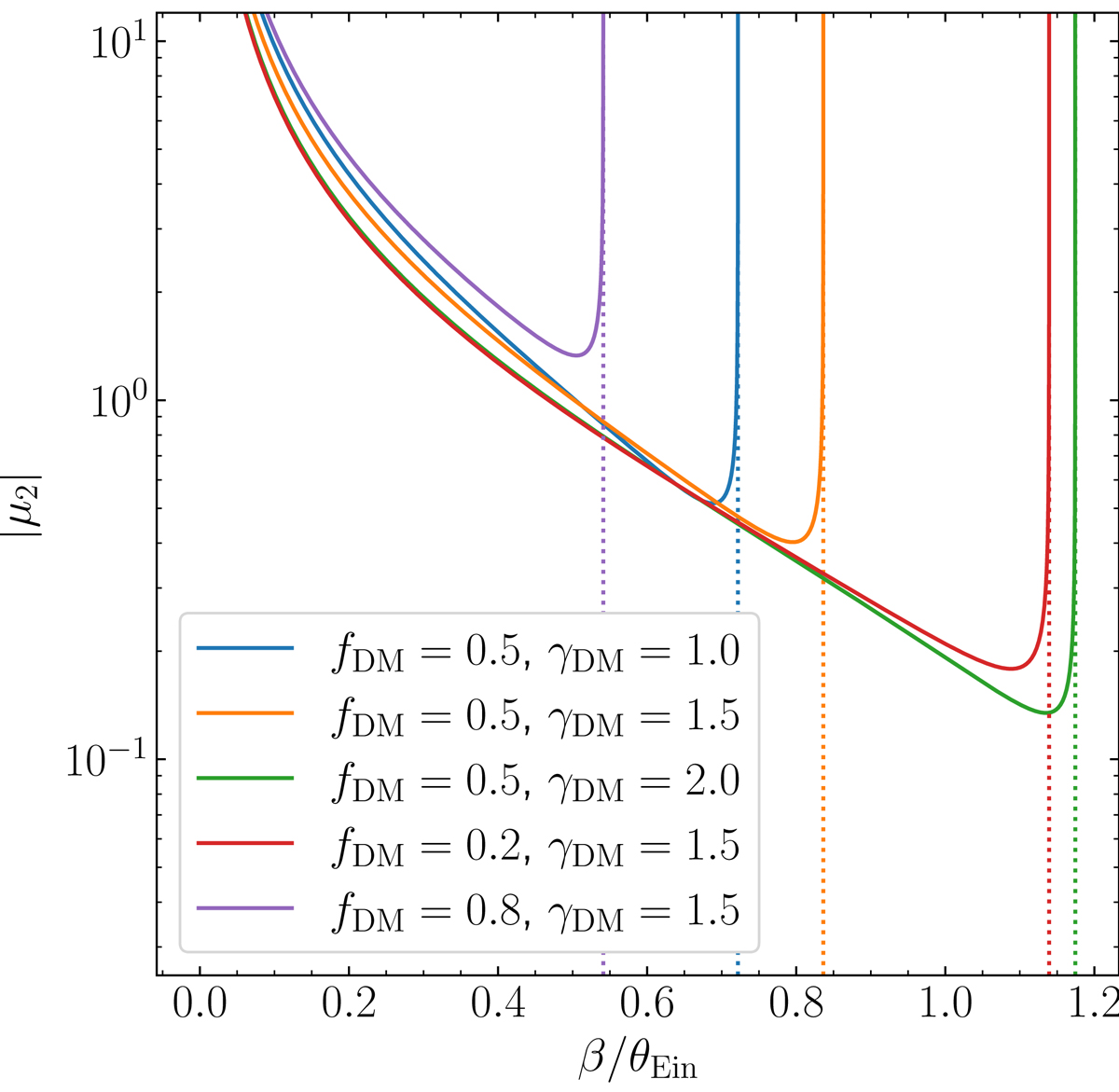
Fig. 5.

Download original image
Magnification of the secondary image as a function of the source position. The lenses are axisymmetric composite models. Their density profile is plotted in Fig. 4. Vertical dotted lines mark the position of the radial caustic.
Current usage metrics show cumulative count of Article Views (full-text article views including HTML views, PDF and ePub downloads, according to the available data) and Abstracts Views on Vision4Press platform.
Data correspond to usage on the plateform after 2015. The current usage metrics is available 48-96 hours after online publication and is updated daily on week days.
Initial download of the metrics may take a while.