Open Access

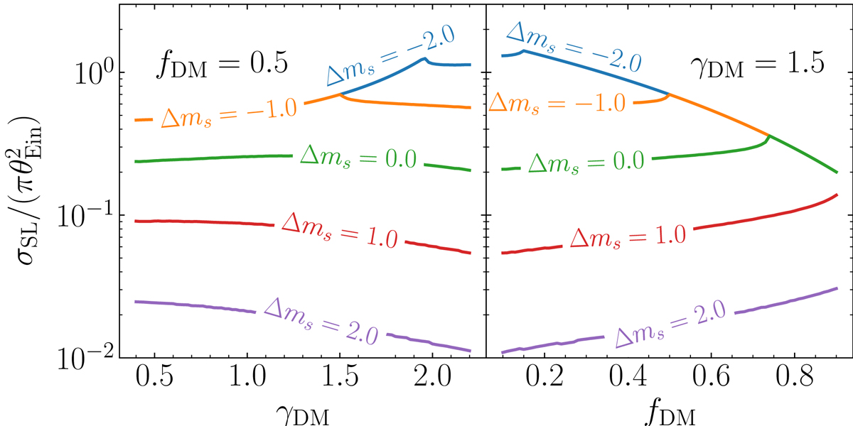
Fig. 6.

image

Download original image

Strong lensing cross-section of an axisymmetric lens and a point source. The lens galaxy is a composite model, introduced in Sect. 3.1, with an angular half-light radius equal to the Einstein radius. The left panel shows the effect of varying the slope γDM for fixed fDM; conversely, the right panel shows variations as a function of fDM with γDM fixed. The system is defined as a strong lens if at least two images are detected. Different lines correspond to the difference, Δm, between the source magnitude and the survey detection limit for a point source.

Current usage metrics show cumulative count of Article Views (full-text article views including HTML views, PDF and ePub downloads, according to the available data) and Abstracts Views on Vision4Press platform.

Data correspond to usage on the plateform after 2015. The current usage metrics is available 48-96 hours after online publication and is updated daily on week days.

Initial download of the metrics may take a while.