Fig. 7.

Download original image
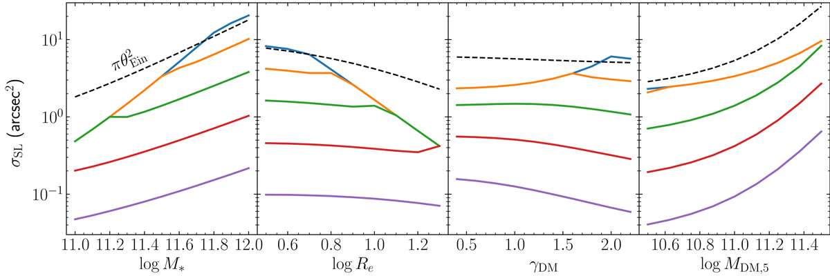
Absolute value of the strong lensing cross-section as a function of various lens properties. The reference lens is a galaxy at z = 0.3 with log M* = 11.5, Re = 7 kpc, γDM = 1.5, log MDM, 5 = 11.0, rs = 100 kpc, and a source at z = 1.5 In each panel, only one property of the lens is varied, as indicated on the label of the horizontal axis. Each curve corresponds to a different value of Δm, in accordance with Fig. 6. The dashed line in each panel shows the quantity .
Current usage metrics show cumulative count of Article Views (full-text article views including HTML views, PDF and ePub downloads, according to the available data) and Abstracts Views on Vision4Press platform.
Data correspond to usage on the plateform after 2015. The current usage metrics is available 48-96 hours after online publication and is updated daily on week days.
Initial download of the metrics may take a while.