Fig. 8.

Download original image
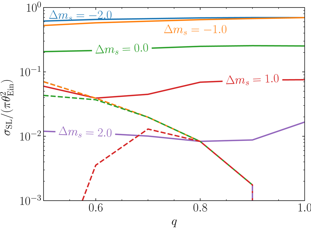
Point source strong lensing cross-section as a function of lens axis ratio. Solid lines show the cross-section based on the lens event definition of Eq. (13) and dashed lines the cross-section based on the detection of four images (quad cross-section). Lines of different colours correspond to sources of different intrinsic magnitudes. The dashed blue line, corresponding to the brightest source magnitude, overlaps completely with the dashed orange line. The dashed purple line is zero: very faint sources cannot produce any detectable quads. The parameters of the lens density profile are fDM = 0.5, γDM = 1.5, rs = 10Re, and θe = θEin. The baryonic and dark matter components have the same ellipticity and direction of the major axis.
Current usage metrics show cumulative count of Article Views (full-text article views including HTML views, PDF and ePub downloads, according to the available data) and Abstracts Views on Vision4Press platform.
Data correspond to usage on the plateform after 2015. The current usage metrics is available 48-96 hours after online publication and is updated daily on week days.
Initial download of the metrics may take a while.