Fig. 9.

Download original image
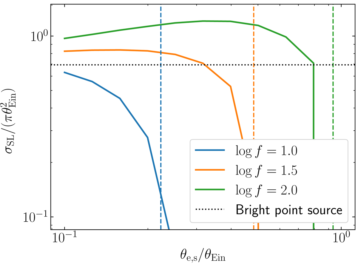
Strong lensing cross-section of an extended source: small source size regime (θe, s < θEin). The cross-section is plotted as a function of the ratio between the half-light radius of the source and the Einstein radius of the lens. The lens model is fixed to be the same as in Fig. 8, with axis ratio q = 0.7. The source is a circular exponential profile. Each solid line corresponds to a different value of the total unlensed flux of the source. The flux, f, is expressed in terms of the background noise rms fluctuation measured over an area equal to . The vertical dashed lines correspond to the maximum size for which a galaxy with a given flux can be detected in the absence of lensing. The horizontal dotted line indicates the cross-section for a very bright point source (i.e. the area enclosed within the caustics).
Current usage metrics show cumulative count of Article Views (full-text article views including HTML views, PDF and ePub downloads, according to the available data) and Abstracts Views on Vision4Press platform.
Data correspond to usage on the plateform after 2015. The current usage metrics is available 48-96 hours after online publication and is updated daily on week days.
Initial download of the metrics may take a while.