Fig. 1

Download original image
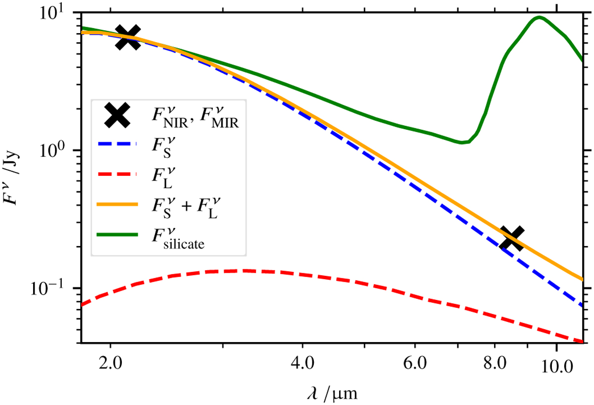
Flux density Fv originating from hot dust for the system HD 172167 (Vega). The black crosses denote the values inferred from the observations (see Table 2). The orange line shows the radiation of a carbonaceous dust ring reproducing the observed flux densities with an inner disk radius of Rin = 0.18 au, a population of grains with radius aS = 0.2 µm and a dust mass of MS ≈ 6.2 × 10−10 M⊕, and a population of larger grains with radius aL = 10 µm and a dust mass of ML ≈ 8.9 × 10−10 M⊕; the dashed lines in blue and red denote the respective contributions of the two grain populations. For comparison, the solid green line depicts the radiation of a dust ring at the same location comprised of grains made of astronomical silicate with a grain radius of a = 0.2 µm; the dust mass is scaled such that the flux density matches the value inferred from observations at λ = 2.13 µm. This dust ring does not reproduce the observations due to the high predicted flux density in the MIR wavelength range.
Current usage metrics show cumulative count of Article Views (full-text article views including HTML views, PDF and ePub downloads, according to the available data) and Abstracts Views on Vision4Press platform.
Data correspond to usage on the plateform after 2015. The current usage metrics is available 48-96 hours after online publication and is updated daily on week days.
Initial download of the metrics may take a while.