Fig. 9.

Download original image
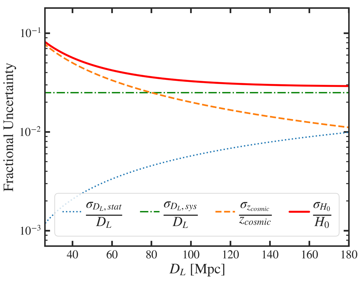
Fractional uncertainty on H0 (red line) for a future kilonova detection with similar intrinsic luminosity, systematic uncertainties, and peculiar velocity uncertainty as AT2017gfo. The dominant contribution for objects at DL < 100 Mpc is the uncertainty from peculiar velocities (dashed orange line) assuming the total peculiar velocity uncertainty is independent of the distance. The statistical uncertainty on the luminosity distance for mock spectra objects with the same intrinsic luminosity as the first X-shooter epoch increases with distance (blue dotted lines). The systematic uncertainties in distance from sphericity constraints, flux calibration, and dust extinction are considered to be independent of the source distance.
Current usage metrics show cumulative count of Article Views (full-text article views including HTML views, PDF and ePub downloads, according to the available data) and Abstracts Views on Vision4Press platform.
Data correspond to usage on the plateform after 2015. The current usage metrics is available 48-96 hours after online publication and is updated daily on week days.
Initial download of the metrics may take a while.