Open Access
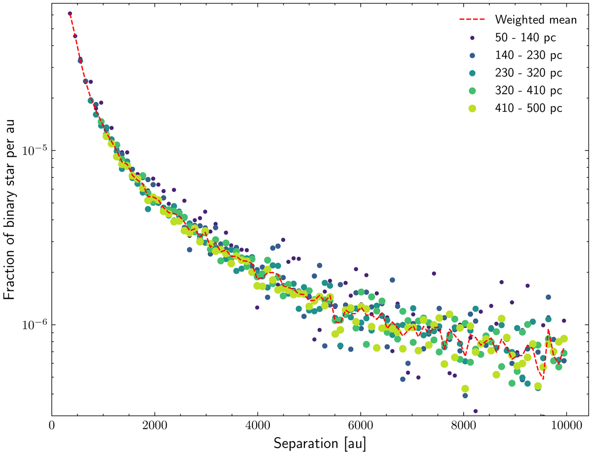
Fig. 7.

Download original image
Differential rate of binaries fbin(at) measured in the five shells as a function of transverse separation at. The red dashed line gives the means for all shells. Error bars are not shown to avoid overloading the figure, but the scatter of each series gives an indication.
Current usage metrics show cumulative count of Article Views (full-text article views including HTML views, PDF and ePub downloads, according to the available data) and Abstracts Views on Vision4Press platform.
Data correspond to usage on the plateform after 2015. The current usage metrics is available 48-96 hours after online publication and is updated daily on week days.
Initial download of the metrics may take a while.