Fig. 8.

Download original image
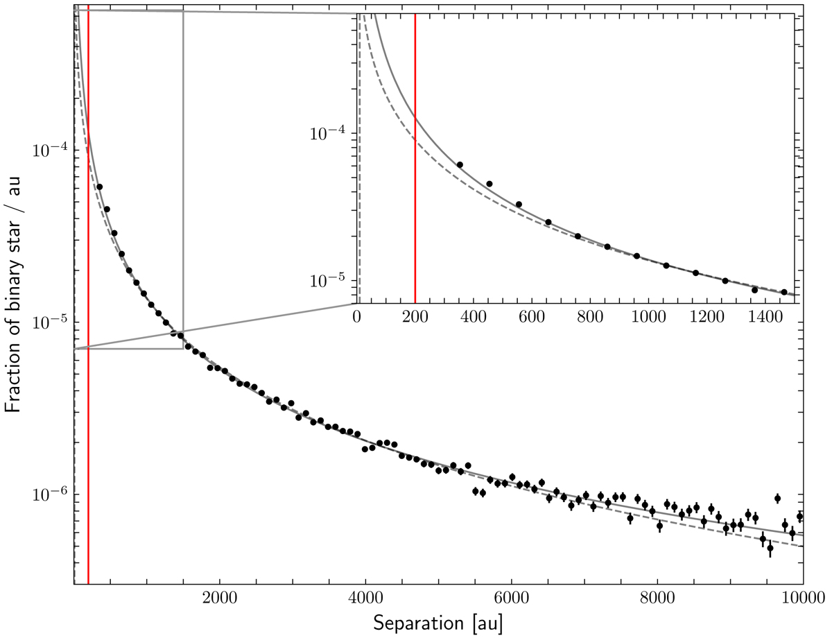
Projected log-normal function for rmode = 0.1 au (dotted line), and power function
(full line), fitted to the differential fraction of binary, as a function of the projected separation. The vertical red line corresponds to a projected separation of 200 au. The inset shows that the fit of
is not satisfactory at small separations.
Current usage metrics show cumulative count of Article Views (full-text article views including HTML views, PDF and ePub downloads, according to the available data) and Abstracts Views on Vision4Press platform.
Data correspond to usage on the plateform after 2015. The current usage metrics is available 48-96 hours after online publication and is updated daily on week days.
Initial download of the metrics may take a while.