Fig. 1

Download original image
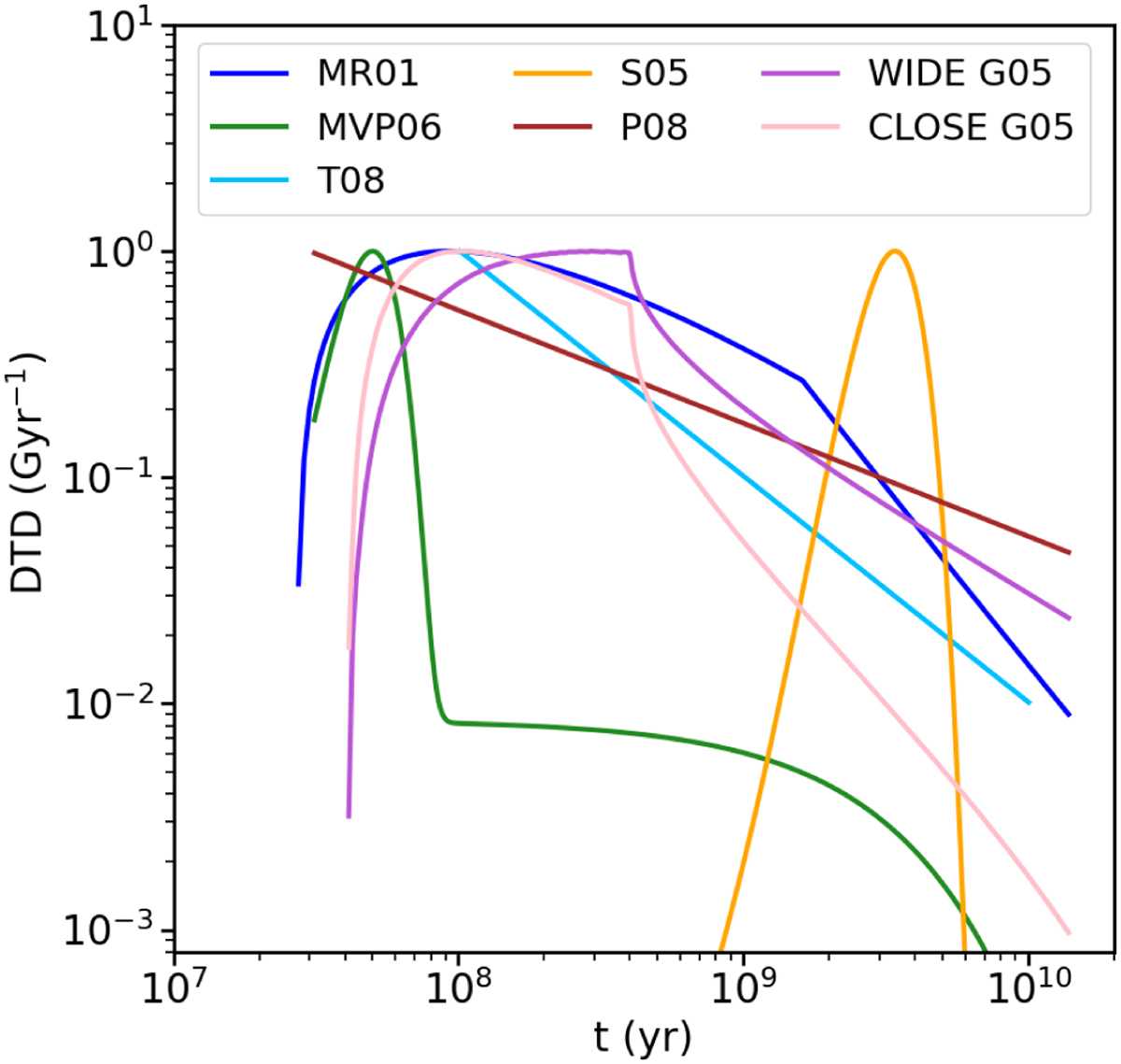
Delay time distribution functions normalised to their own maximum value adopted in this work: MR01 (Matteucci & Recchi 2001, blue line), WIDE and CLOSE G05 (Greggio 2005, purple and pink lines, respectively), MVP06 (Mannucci et al. 2006, green line), S05 (Strolger et al. 2005, yellow line), and T08 (Totani et al. 2008, cyan line).
Current usage metrics show cumulative count of Article Views (full-text article views including HTML views, PDF and ePub downloads, according to the available data) and Abstracts Views on Vision4Press platform.
Data correspond to usage on the plateform after 2015. The current usage metrics is available 48-96 hours after online publication and is updated daily on week days.
Initial download of the metrics may take a while.