Fig. A.2

Download original image
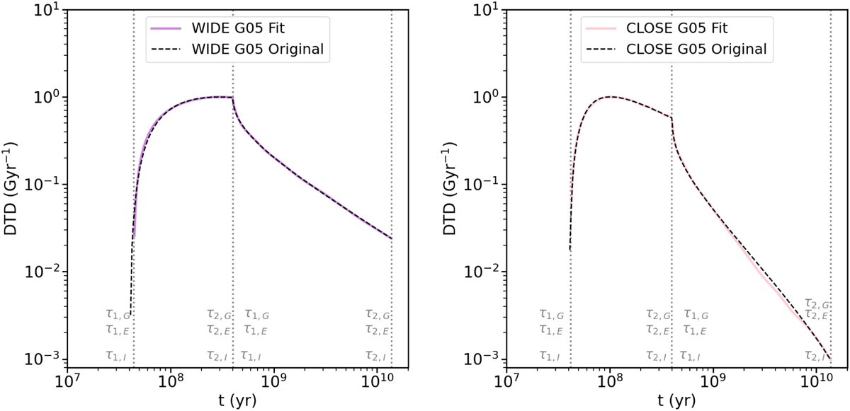
WIDE (left panel) and CLOSE (right panel) double degenerate delay time distributions of Greggio (2005) normalised to their maximum (dashed black curves). The form of the WIDE G05 DTD is defined by the parameters τn,x = 0.4 Gyr, βa = 0, while for the CLOSE G05 DTD, we use the combination τn,x = 0.4 Gyr, βg = −0.975. The WIDE DTD is modelled as six Gaussian curves, eight exponentials, and two t−1 functions (solid purple line); while the CLOSE DTD requires twelve Gaussian curves, nine exponentials, and four t−1 functions (solid pink line). Vertical dotted lines indicate the time domain (τ1, τ2)G,E,I of the fitting for each section of the DTD (see Table 2 for the adopted parameters).
Current usage metrics show cumulative count of Article Views (full-text article views including HTML views, PDF and ePub downloads, according to the available data) and Abstracts Views on Vision4Press platform.
Data correspond to usage on the plateform after 2015. The current usage metrics is available 48-96 hours after online publication and is updated daily on week days.
Initial download of the metrics may take a while.