Fig. 3.

Download original image
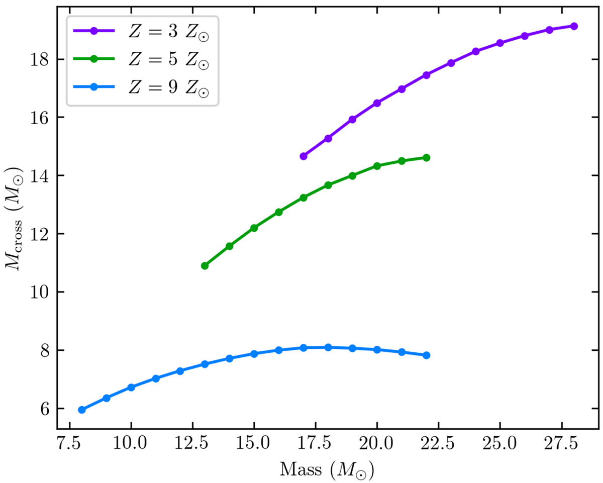
Crossover mass of all modeled systems. The horizontal axis shows the initial mass of the star, and the vertical axis shows the crossover mass, namely the mass at which the mass-loss timescale is shorter than the remaining stellar lifetime (see Fig. 1). Lower-mass stars than those shown for Z = 3 Z⊙ or Z = 5 Z⊙ do not have a crossover mass (see Fig. 1 for Z = 5 Z⊙ example). Stars with Z = 3 Z⊙ or Z = 5 Z⊙ clearly have Mcross ≳ 8 M⊙, while stars with Z = 9 Z⊙ have Mcross ≲ 8 M⊙. This implies that stars forming in a Z = 9 Z⊙ ISM fail to undergo Type II supernovae and lead to a metallicity ceiling in the ISM.
Current usage metrics show cumulative count of Article Views (full-text article views including HTML views, PDF and ePub downloads, according to the available data) and Abstracts Views on Vision4Press platform.
Data correspond to usage on the plateform after 2015. The current usage metrics is available 48-96 hours after online publication and is updated daily on week days.
Initial download of the metrics may take a while.