Open Access
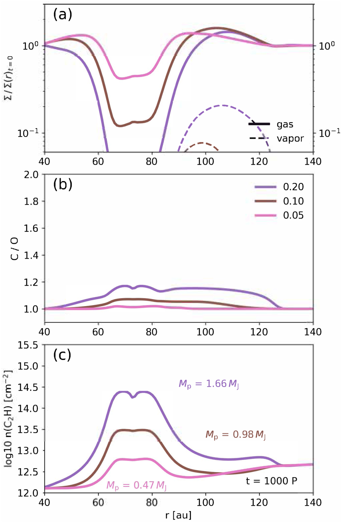
Fig. 10

Download original image
Azimuthally averaged radial profiles of simulations with different accretion rates fA ≤ 0.2 at t = 1000 orbits. The panels are the same as in Fig. 9. The amount of the released carbon is relatively low compared with the high accretion rate runs. High C2H column density might still be reached when the gap is very deep.
Current usage metrics show cumulative count of Article Views (full-text article views including HTML views, PDF and ePub downloads, according to the available data) and Abstracts Views on Vision4Press platform.
Data correspond to usage on the plateform after 2015. The current usage metrics is available 48-96 hours after online publication and is updated daily on week days.
Initial download of the metrics may take a while.