Fig. 3

Download original image
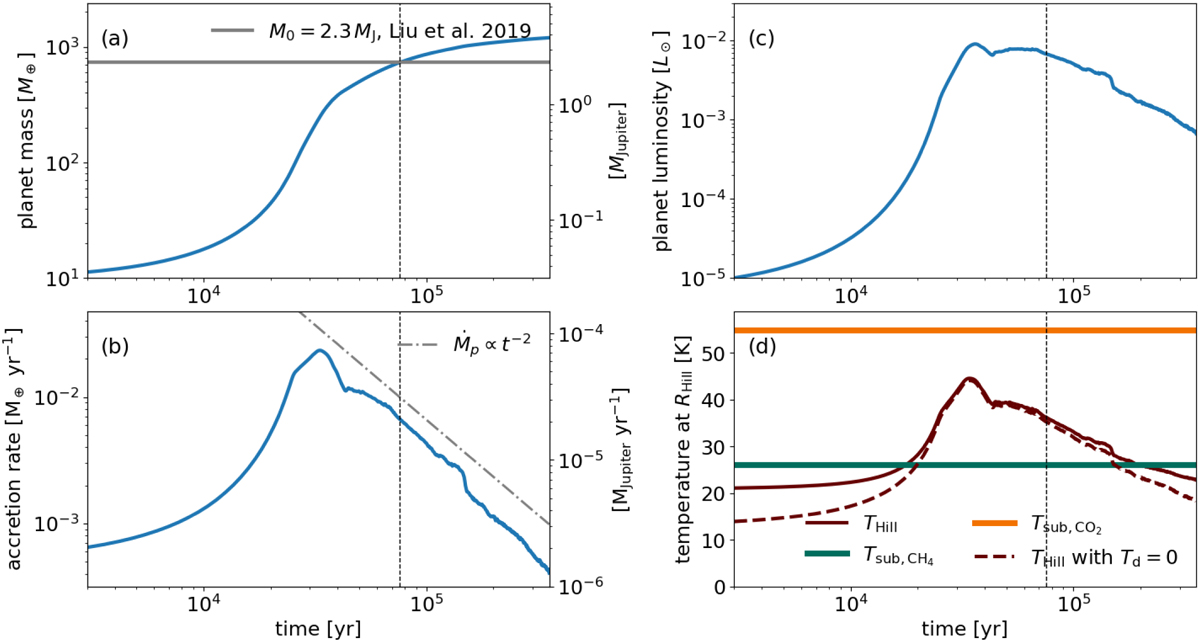
Time evolution of different parameters in the fiducial model. (a) Planet mass. The horizontal gray line indicates the planet mass M0 = 2.3MJ inferred by Liu et al. (2019), which we use as a reference mass. (b) Planet’s gas accretion. (c) Planet’s accretion luminosity (Eq. (15)). (d) Disk temperature at the Hill radius. The sublimation temperature of CH4 (green) and CO2 (orange) are indicated by horizontal lines for reference (see discussion in Sect. 4.2). In each panel, the vertical dashed lines indicate the time when the mass of the planet reaches M0.
Current usage metrics show cumulative count of Article Views (full-text article views including HTML views, PDF and ePub downloads, according to the available data) and Abstracts Views on Vision4Press platform.
Data correspond to usage on the plateform after 2015. The current usage metrics is available 48-96 hours after online publication and is updated daily on week days.
Initial download of the metrics may take a while.