Fig. 9

Download original image
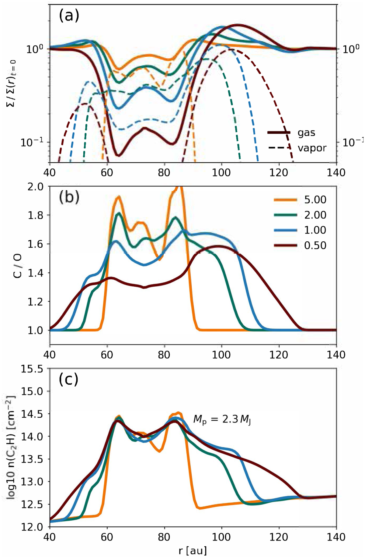
Azimuthally averaged radial profiles of simulations with different accretion rates fA > 0.5 at Mp = 2.3 MJ. (a) Total gas density (solid), CH4 vapor density (dashed) at the indicated planet mass over the unperturbed density gas and pebble profile Eq. (12). (b) C/O ratio in the gas (midplane) in our simulations based on the abundance assumed in Table 1. (c) Expected C2H column density.
Current usage metrics show cumulative count of Article Views (full-text article views including HTML views, PDF and ePub downloads, according to the available data) and Abstracts Views on Vision4Press platform.
Data correspond to usage on the plateform after 2015. The current usage metrics is available 48-96 hours after online publication and is updated daily on week days.
Initial download of the metrics may take a while.