Fig. 4.

Download original image
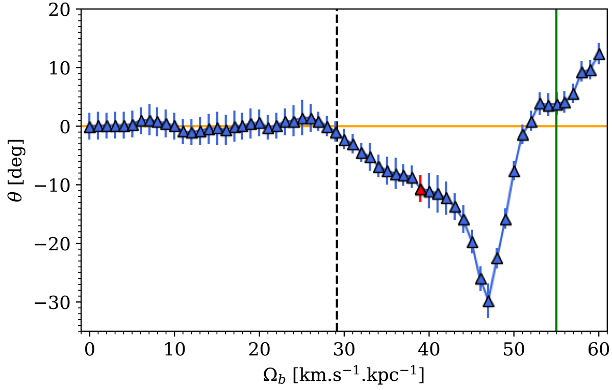
Deflection angle of the plane of the Hyades stream for different pattern speeds of the Galactic bar w.r.t. the plane of the stream without a bar. The red triangle highlights the deflection angle for a bar having Ωb = 39 km s−1 kpc−1, and the green vertical line corresponds to Ωb = 55 km s−1 kpc−1. The dashed vertical black line indicates the pattern speed for which the guiding radius of the Hyades cluster will be located at the co-rotation radius (Ωb ≈ 29 km s−1 kpc−1). The orange line shows the angle in the absence of bar (set to 0° by definition).
Current usage metrics show cumulative count of Article Views (full-text article views including HTML views, PDF and ePub downloads, according to the available data) and Abstracts Views on Vision4Press platform.
Data correspond to usage on the plateform after 2015. The current usage metrics is available 48-96 hours after online publication and is updated daily on week days.
Initial download of the metrics may take a while.